Официальное опубликование правовых актов
ОФИЦИАЛЬНОЕ ОПУБЛИКОВАНИЕ
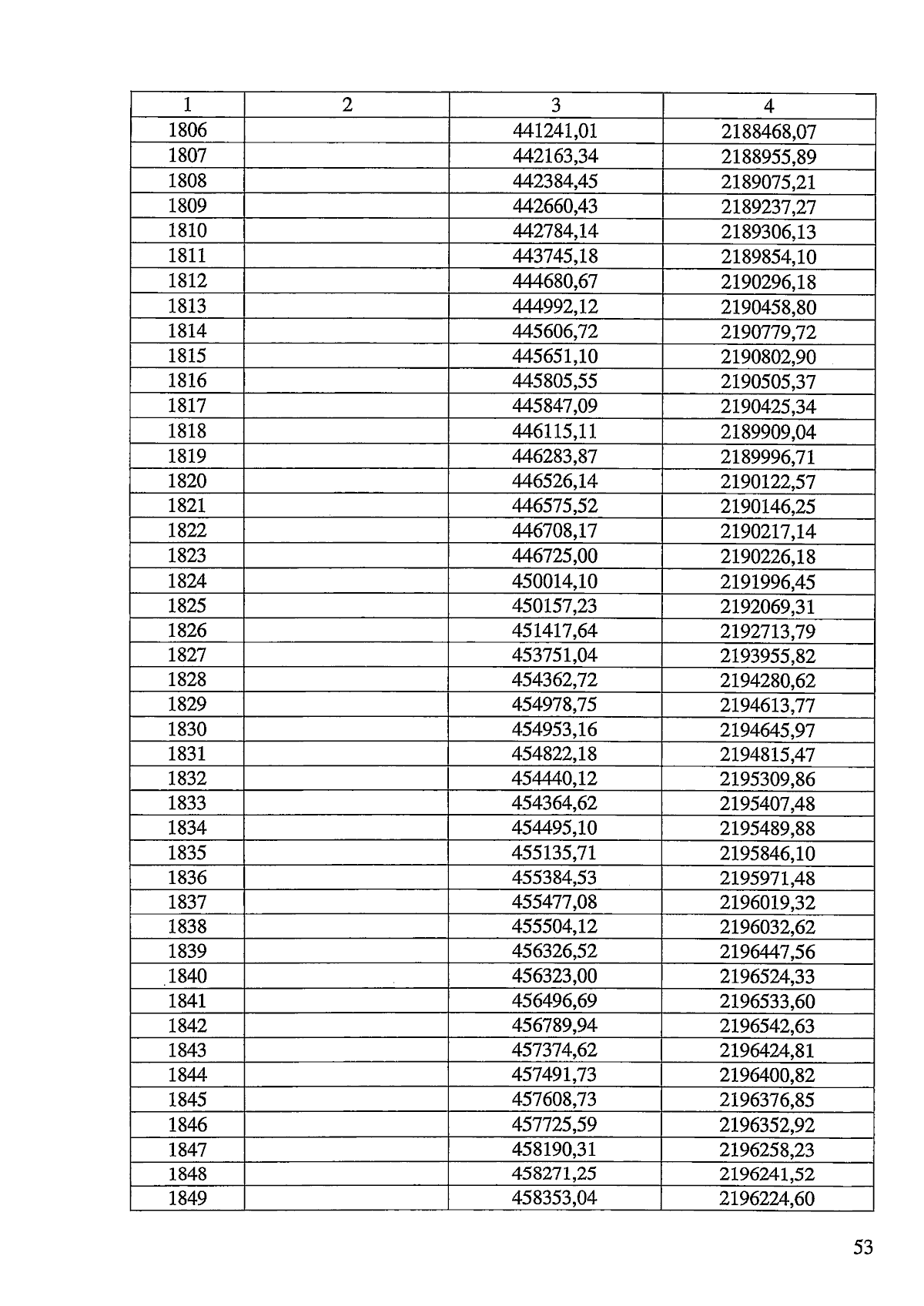
Закон Челябинской области от 19.03.2025 № 37-ЗО
"О статусе и границах Нагайбакского муниципального округа Челябинской области"
Номер опубликования: 7400202503190010
Дата опубликования: 19.03.2025
Страница №53 из 71:
Увеличить