Официальное опубликование правовых актов
ОФИЦИАЛЬНОЕ ОПУБЛИКОВАНИЕ
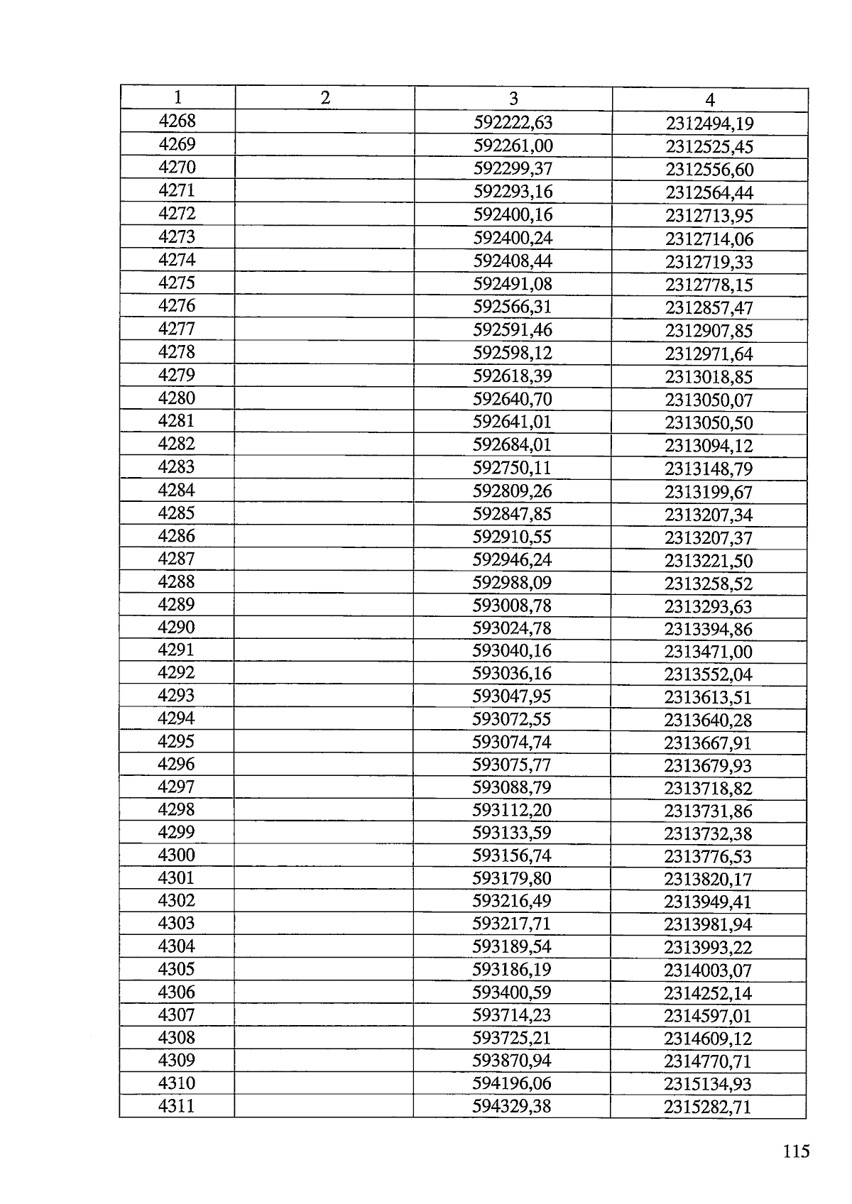
Закон Челябинской области от 17.03.2025 № 26-ЗО
"О статусе и границах Сосновского муниципального округа Челябинской области"
Номер опубликования: 7400202503170005
Дата опубликования: 17.03.2025
Страница №115 из 189:
Увеличить