Официальное опубликование правовых актов
ОФИЦИАЛЬНОЕ ОПУБЛИКОВАНИЕ
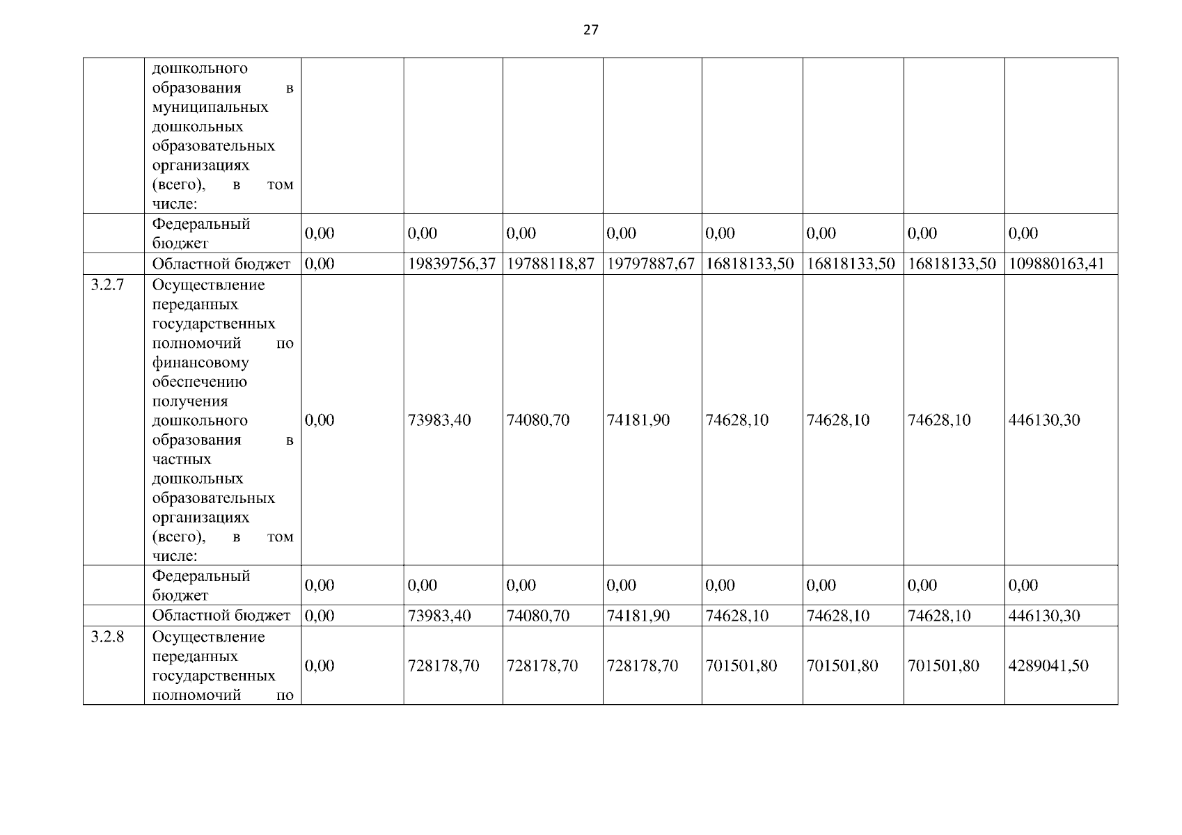
Постановление Правительства Челябинской области от 12.02.2025 № 152-П
"О внесении изменений в постановление Правительства Челябинской области от 29.10.2014 г. № 522-П"
Номер опубликования: 7400202502140002
Дата опубликования: 14.02.2025
Страница №29 из 60:
Увеличить