Официальное опубликование правовых актов
ОФИЦИАЛЬНОЕ ОПУБЛИКОВАНИЕ
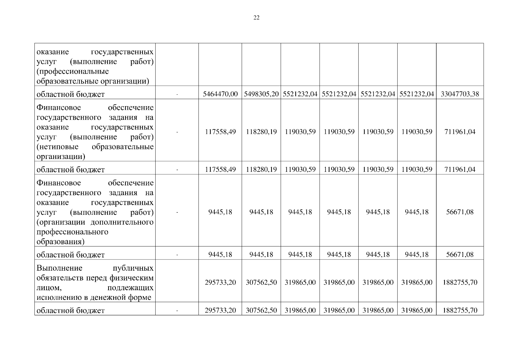
Постановление Правительства Челябинской области от 10.02.2025 № 127-П
"О внесении изменений в постановление Правительства Челябинской области от 29.12.2017 г. № 756-П"
Номер опубликования: 7400202502120029
Дата опубликования: 12.02.2025
Страница №24 из 101:
Увеличить