Официальное опубликование правовых актов
ОФИЦИАЛЬНОЕ ОПУБЛИКОВАНИЕ
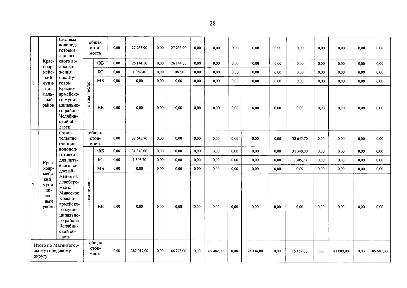
Постановление Правительства Челябинской области от 24.12.2024 № 733-П
"О внесении изменений в постановление Правительства Челябинской области от 22.10.2013 г. № 350-П"
Номер опубликования: 7400202412270021
Дата опубликования: 27.12.2024
Страница №30 из 60:
Увеличить