Официальное опубликование правовых актов
ОФИЦИАЛЬНОЕ ОПУБЛИКОВАНИЕ
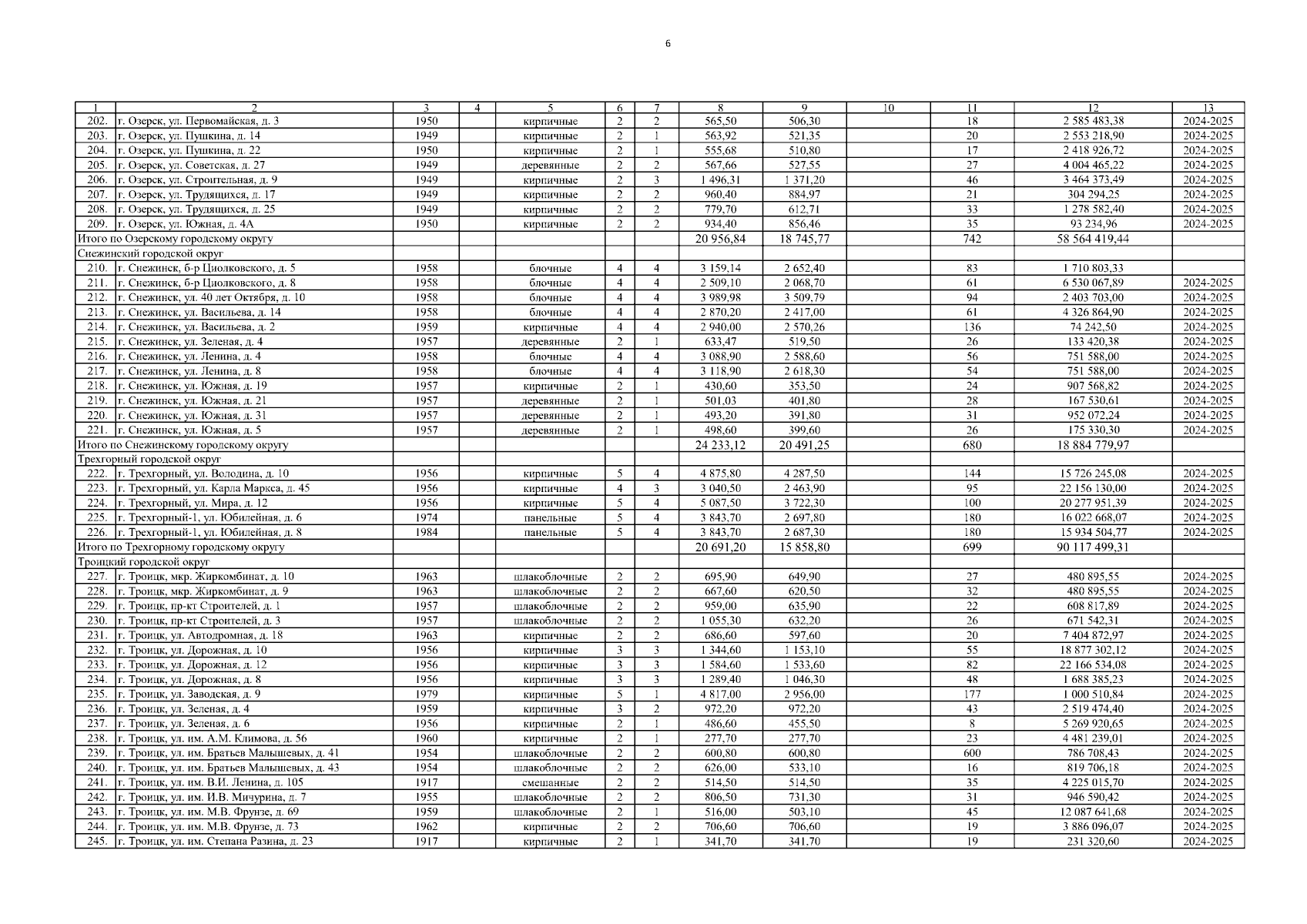
Постановление Правительства Челябинской области от 12.12.2024 № 704-П
"О внесении изменений в постановление Правительства Челябинской области от 28.06.2024 г. № 400-П"
Номер опубликования: 7400202412130016
Дата опубликования: 13.12.2024
Страница №138 из 486:
Увеличить