Официальное опубликование правовых актов
ОФИЦИАЛЬНОЕ ОПУБЛИКОВАНИЕ
Постановление Правительства Челябинской области от 09.09.2024 № 523-П
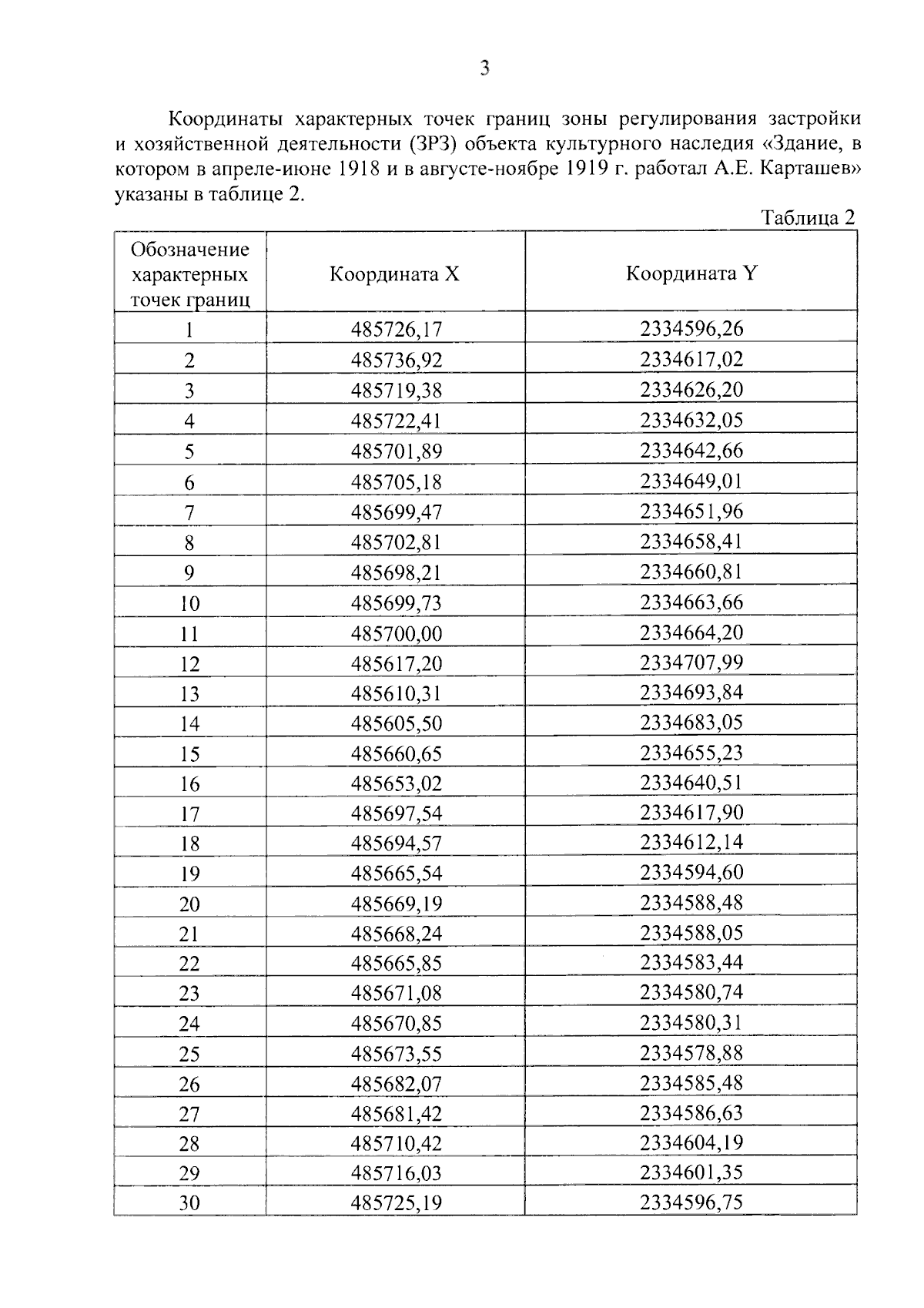
"Об утверждении границ зон охраны, особых режимов использования земель зон охраны и требований к градостроительным регламентам в границах территорий данных зон объекта культурного наследия регионального значения "Здание, в котором в апреле-июне 1918 и в августе-ноябре 1919 г. работал А.Е. Карташев", расположенного по адресу: Челябинская область, г. Троицк, ул. Октябрьская, 88"
Номер опубликования: 7400202409100009
Дата опубликования: 10.09.2024
Страница №5 из 15:
Увеличить