Официальное опубликование правовых актов
ОФИЦИАЛЬНОЕ ОПУБЛИКОВАНИЕ
Распоряжение Губернатора Челябинской области от 27.06.2018 № 802-р
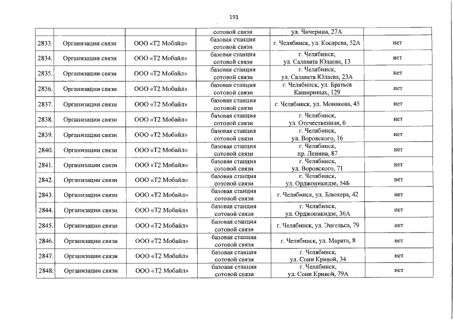
"О Перечне потребителей электрической энергии в Челябинской области с указанием принадлежащих им на праве собственности или ином законном основании энергопринимающих устройств и объектов электроэнергетики, ограничение режима потребления электрической энергии которых может привести к экономическим, экологическим или социальным последствиям"
Номер опубликования: 7400201806270008
Дата опубликования: 27.06.2018
Страница №193 из 644:
Увеличить