Официальное опубликование правовых актов
ОФИЦИАЛЬНОЕ ОПУБЛИКОВАНИЕ
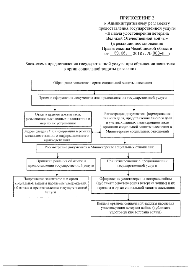
Постановление Правительства Челябинской области от 20.06.2018 № 300-П
"О внесении изменений в некоторые постановления Правительства Челябинской области"
Номер опубликования: 7400201806220013
Дата опубликования: 22.06.2018
Страница №102 из 177:
Увеличить