Официальное опубликование правовых актов
ОФИЦИАЛЬНОЕ ОПУБЛИКОВАНИЕ
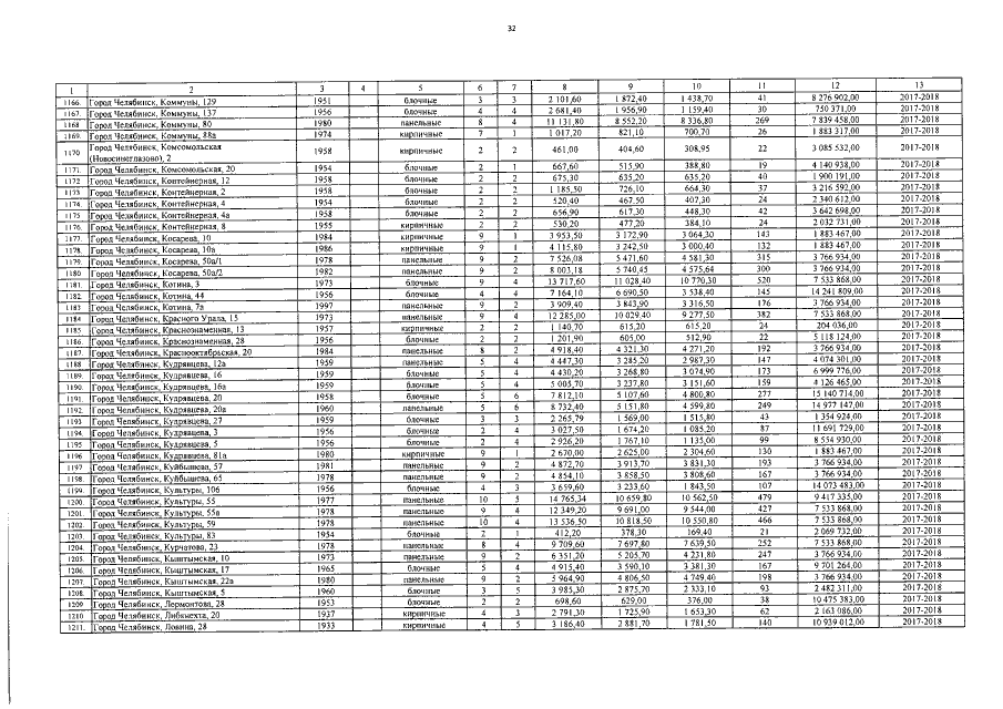
Постановление Правительства Челябинской области от 07.05.2018 № 184-П
"О внесении изменений в постановление Правительства Челябинской области от 30.09.2016 г. № 526-П"
Номер опубликования: 7400201805100002
Дата опубликования: 10.05.2018
Страница №35 из 267:
Увеличить