Официальное опубликование правовых актов
ОФИЦИАЛЬНОЕ ОПУБЛИКОВАНИЕ
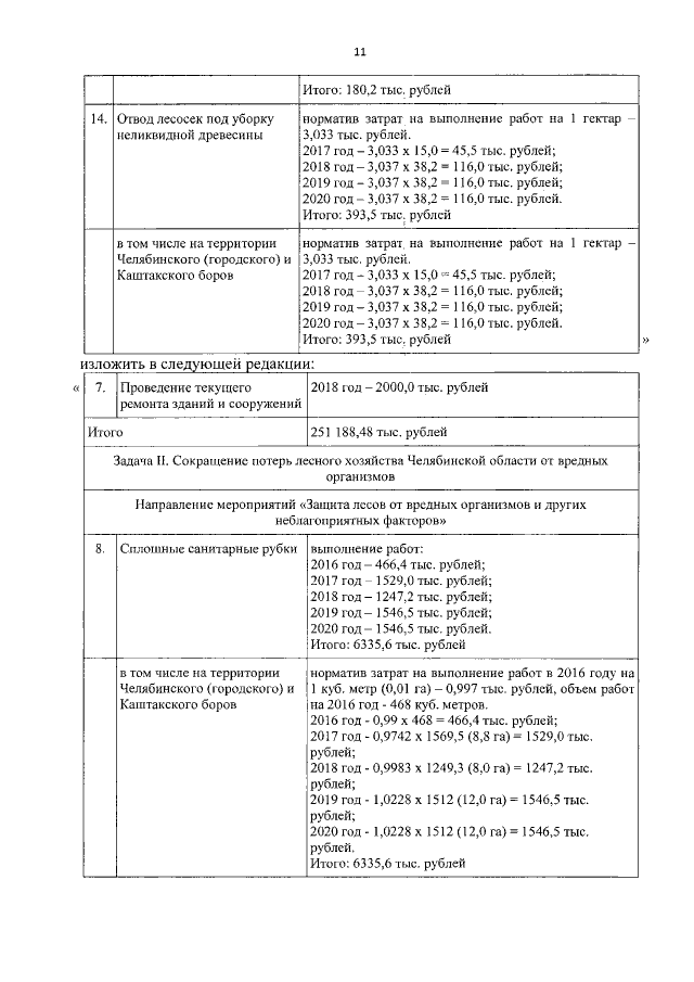
Постановление Правительства Челябинской области от 20.02.2018 № 80-П
"О внесении изменений в постановление Правительства Челябинской области от 22.10.2013 г. № 363-П"
Номер опубликования: 7400201802220051
Дата опубликования: 22.02.2018
Страница №12 из 15:
Увеличить