Официальное опубликование правовых актов
ОФИЦИАЛЬНОЕ ОПУБЛИКОВАНИЕ
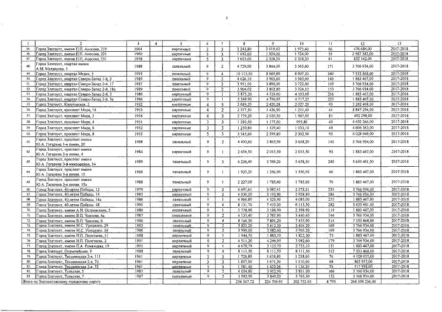
Постановление Правительства Челябинской области от 27.12.2017 № 718-П
"О внесении изменений в постановление Правительства Челябинской области от 30.09.2016 г. № 526-П"
Номер опубликования: 7400201712280028
Дата опубликования: 28.12.2017
Страница №6 из 267:
Увеличить