Официальное опубликование правовых актов
ОФИЦИАЛЬНОЕ ОПУБЛИКОВАНИЕ
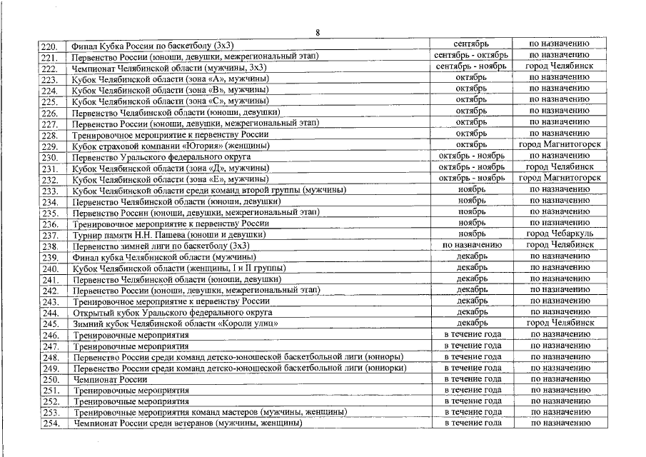
Постановление Губернатора Челябинской области от 22.12.2017 № 270
"О едином областном календарном плане официальных физкультурных мероприятий и спортивных мероприятий на 2018 год"
Номер опубликования: 7400201712220003
Дата опубликования: 22.12.2017
Страница №9 из 268:
Увеличить