Официальное опубликование правовых актов
ОФИЦИАЛЬНОЕ ОПУБЛИКОВАНИЕ
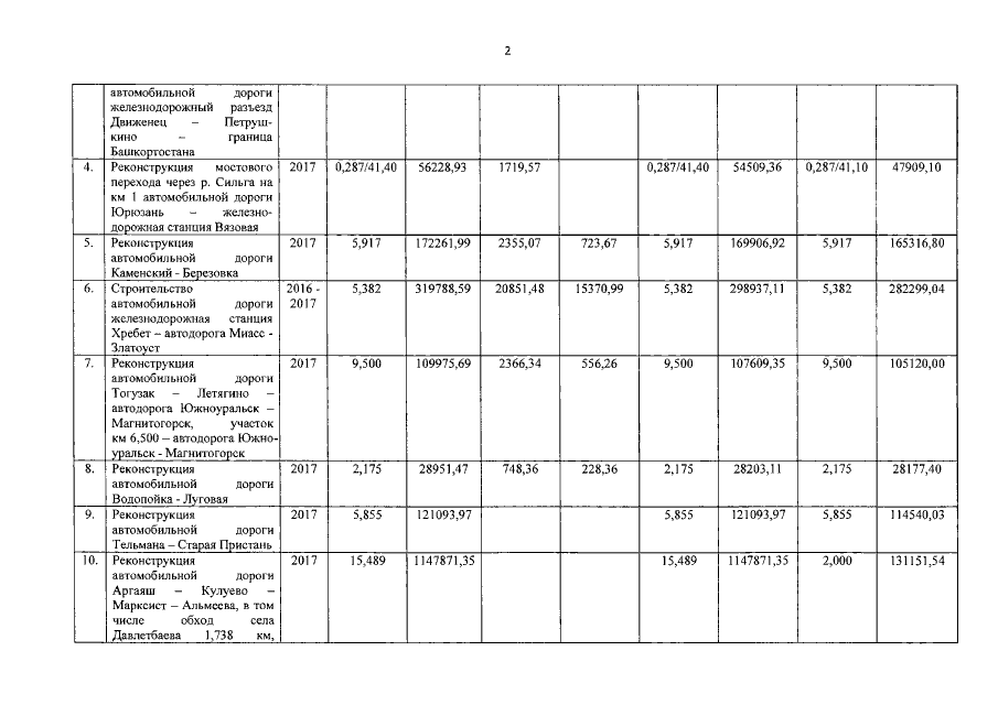
Постановление Правительства Челябинской области от 28.06.2017 № 355-П
"О перечне объектов строительства и реконструкции автомобильных дорог общего пользования регионального или межмуниципального значения в Челябинской области на 2017 год"
Номер опубликования: 7400201707030005
Дата опубликования: 03.07.2017
Страница №3 из 5:
Увеличить