Официальное опубликование правовых актов
ОФИЦИАЛЬНОЕ ОПУБЛИКОВАНИЕ
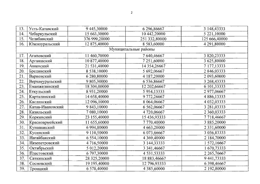
Постановление Правительства Челябинской области от 13.06.2017 № 303-П
"О внесении изменений в постановление Правительства Челябинской области от 13.04.2017 г. № 180-П"
Номер опубликования: 7400201706130001
Дата опубликования: 13.06.2017
Страница №3 из 5:
Увеличить