Официальное опубликование правовых актов
ОФИЦИАЛЬНОЕ ОПУБЛИКОВАНИЕ
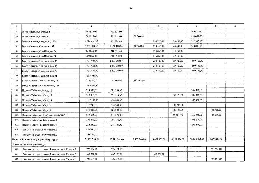
Постановление Правительства Челябинской области от 30.09.2016 № 526-П
"О краткосрочном плане реализации региональной программы капитального ремонта общего имущества в многоквартирных домах Челябинской области на 2017 год"
Номер опубликования: 7400201610040002
Дата опубликования: 04.10.2016
Страница №60 из 167:
Увеличить