Официальное опубликование правовых актов
ОФИЦИАЛЬНОЕ ОПУБЛИКОВАНИЕ
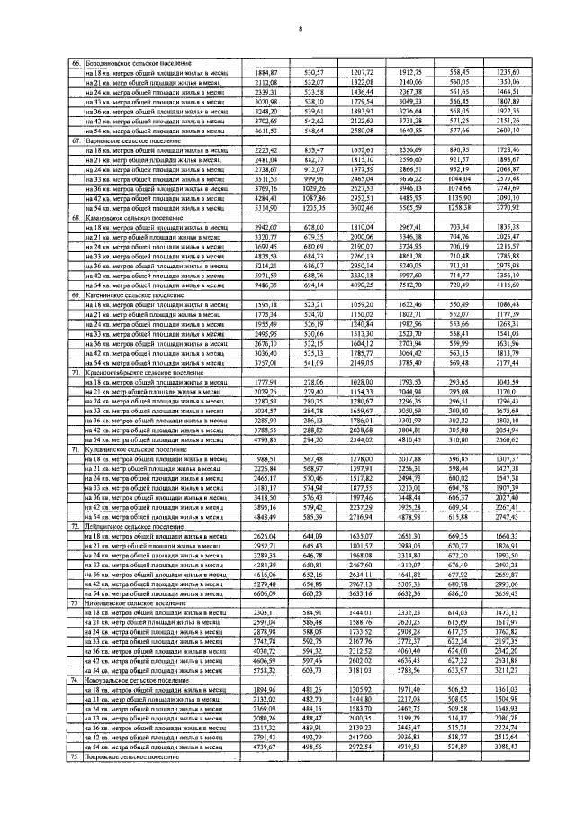
Постановление Правительства Челябинской области от 20.07.2016 № 342-П
"О региональных стандартах стоимости жилищно-коммунальных услуг по Челябинской области на 2016 год"
Номер опубликования: 7400201607250006
Дата опубликования: 25.07.2016
Страница №75 из 131:
Увеличить