Официальное опубликование правовых актов
ОФИЦИАЛЬНОЕ ОПУБЛИКОВАНИЕ
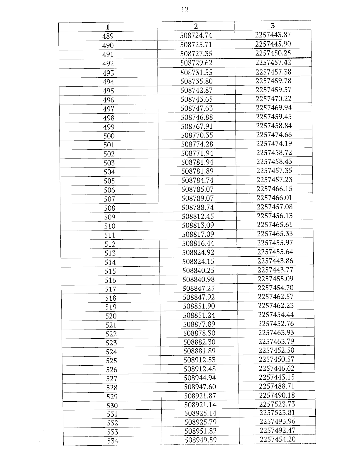
Приказ Министерства имущественных отношений, градостроительной деятельности и цифрового развития Ульяновской области от 26.12.2025 № 133-пр
"О внесении изменения в приказ Министерства строительства и ахитектуры Ульяновской области от 27.12.2019 № 219-пр"
Номер опубликования: 7301202512300007
Дата опубликования: 30.12.2025
Страница №13 из 20:
Увеличить