Официальное опубликование правовых актов
ОФИЦИАЛЬНОЕ ОПУБЛИКОВАНИЕ
Приказ Министерства имущественных отношений, градостроительной деятельности и цифрового развития Ульяновской области от 02.12.2025 № 122-пр
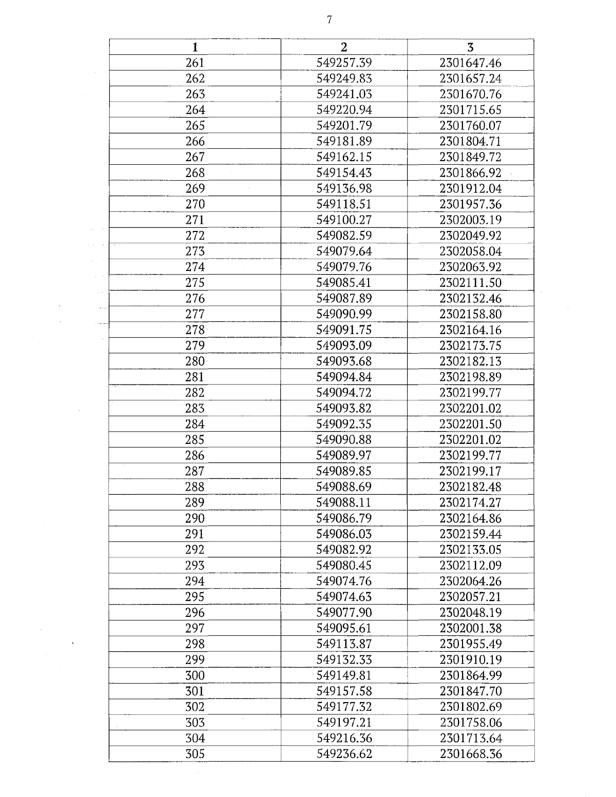
"Об утверждении границы охранной зоны газопровода межпоселкового с. Аристовка – с. Волостниковка - с. Березовка Старомайнского района Ульяновской области, протяженностью 12273 м, местоположение: Российская Федерация, Ульяновская область, р-н Старомайнский и наложении ограничений (обременений) на входящие в неё земельные участки"
Номер опубликования: 7301202512080001
Дата опубликования: 08.12.2025
Страница №9 из 18:
Увеличить