Официальное опубликование правовых актов
ОФИЦИАЛЬНОЕ ОПУБЛИКОВАНИЕ
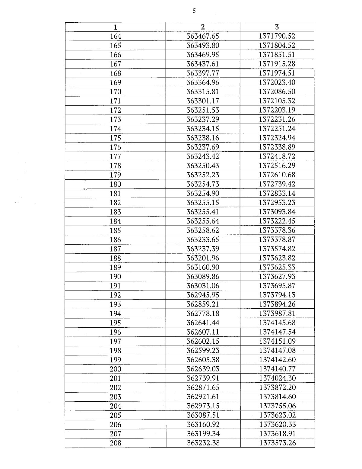
Приказ Министерства имущественных отношений, градостроительной деятельности и цифрового развития Ульяновской области от 24.09.2025 № 95-пр
"Об утверждении границы охранной зоны газопровода межпоселкового с. Барановка – с. Телятниково с ответвлением на с. Болдасьево Николаевского района Ульяновской области, протяженностью 9122 м, местоположение: Российская Федерация, Ульяновская область, р-н Николаевский, МО Барановское сельское поселение и наложении ограничений (обременений) на входящие в неё земельные участки"
Номер опубликования: 7301202509260005
Дата опубликования: 26.09.2025
Страница №7 из 9:
Увеличить