Официальное опубликование правовых актов
ОФИЦИАЛЬНОЕ ОПУБЛИКОВАНИЕ
Приказ Министерства жилищно-коммунального хозяйства и строительства Ульяновской области от 01.08.2025 № 34-П
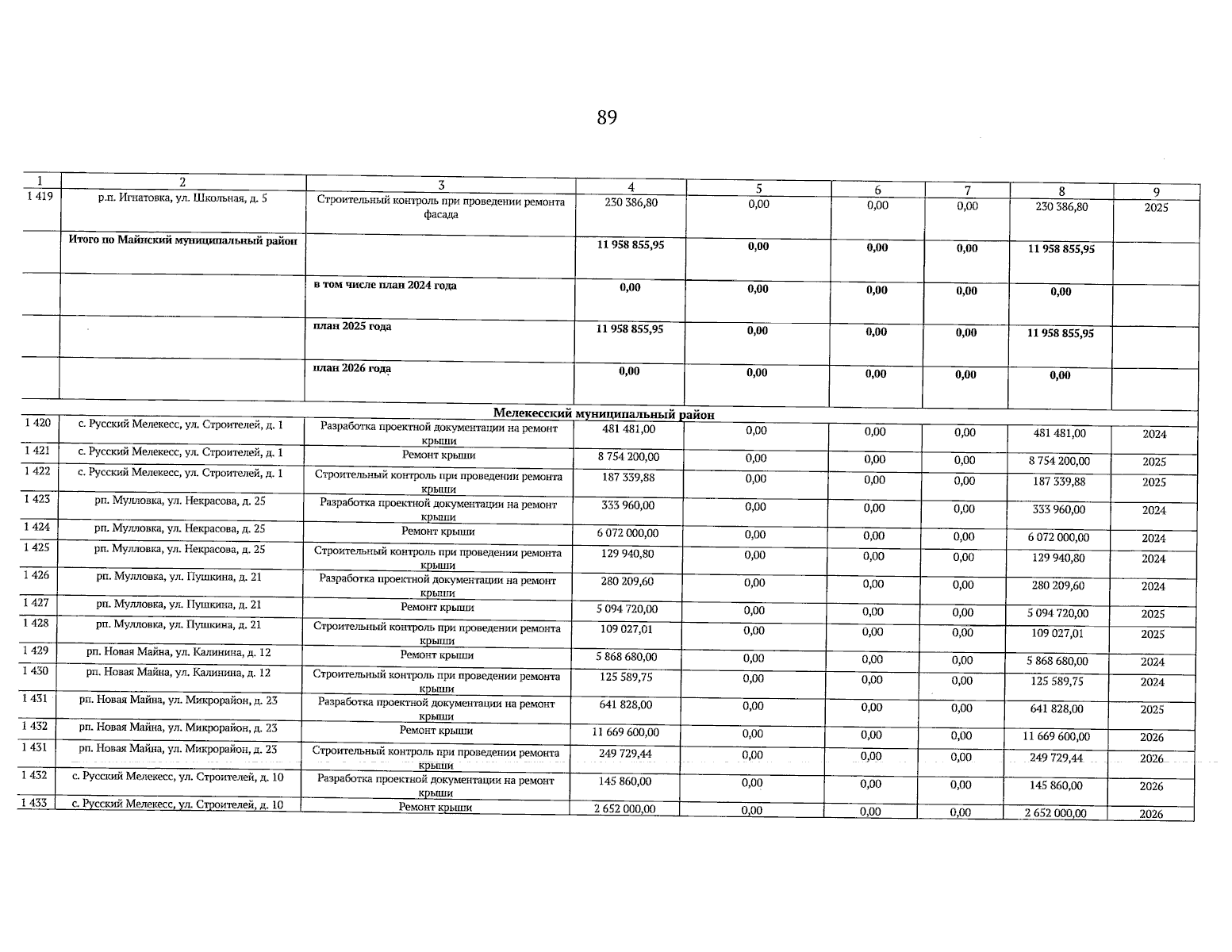
"Об утверждении краткосрочного плана реализации в 2024-2026 годах региональной программы капитального ремонта общего имущества в многоквартирных домах, расположенных на территории Ульяновской области"
(Зарегистрирован 01.08.2025 № ГР-07/34)
Номер опубликования: 7301202508010003
Дата опубликования: 01.08.2025
Страница №90 из 100:
Увеличить