Официальное опубликование правовых актов
ОФИЦИАЛЬНОЕ ОПУБЛИКОВАНИЕ
Приказ Министерства имущественных отношений и архитектуры Ульяновской области от 26.11.2024 № 316-пр
"Об определении перечня объектов недвижимого имущества, в отношении которых налоговая база определяется как кадастровая стоимость, на 2025 год"
(Зарегистрирован 26.11.2024 № ГР-08/316)
Номер опубликования: 7301202411280003
Дата опубликования: 28.11.2024
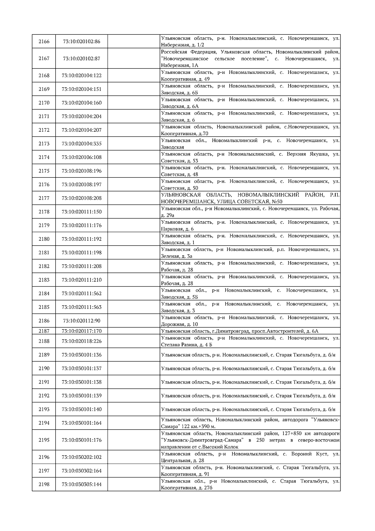
Страница №60 из 468:
Увеличить