Официальное опубликование правовых актов
ОФИЦИАЛЬНОЕ ОПУБЛИКОВАНИЕ
Приказ Министерства жилищно-коммунального хозяйства и строительства Ульяновской области от 01.10.2024 № 50-П
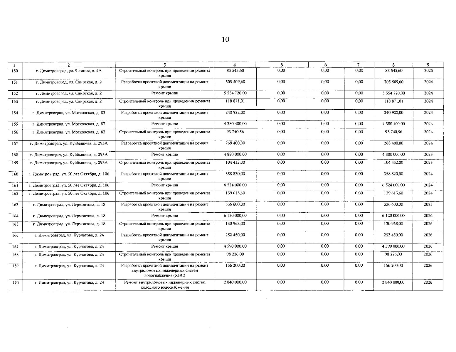
"Об утверждении краткосрочного плана реализации в 2024-2026 годах региональной программы капитального ремонта общего имущества в многоквартирных домах, расположенных на территории Ульяновской области"
(Зарегистрирован 01.10.2024 № ГР-07/50)
Номер опубликования: 7301202410030002
Дата опубликования: 03.10.2024
Страница №11 из 64:
Увеличить