Официальное опубликование правовых актов
ОФИЦИАЛЬНОЕ ОПУБЛИКОВАНИЕ
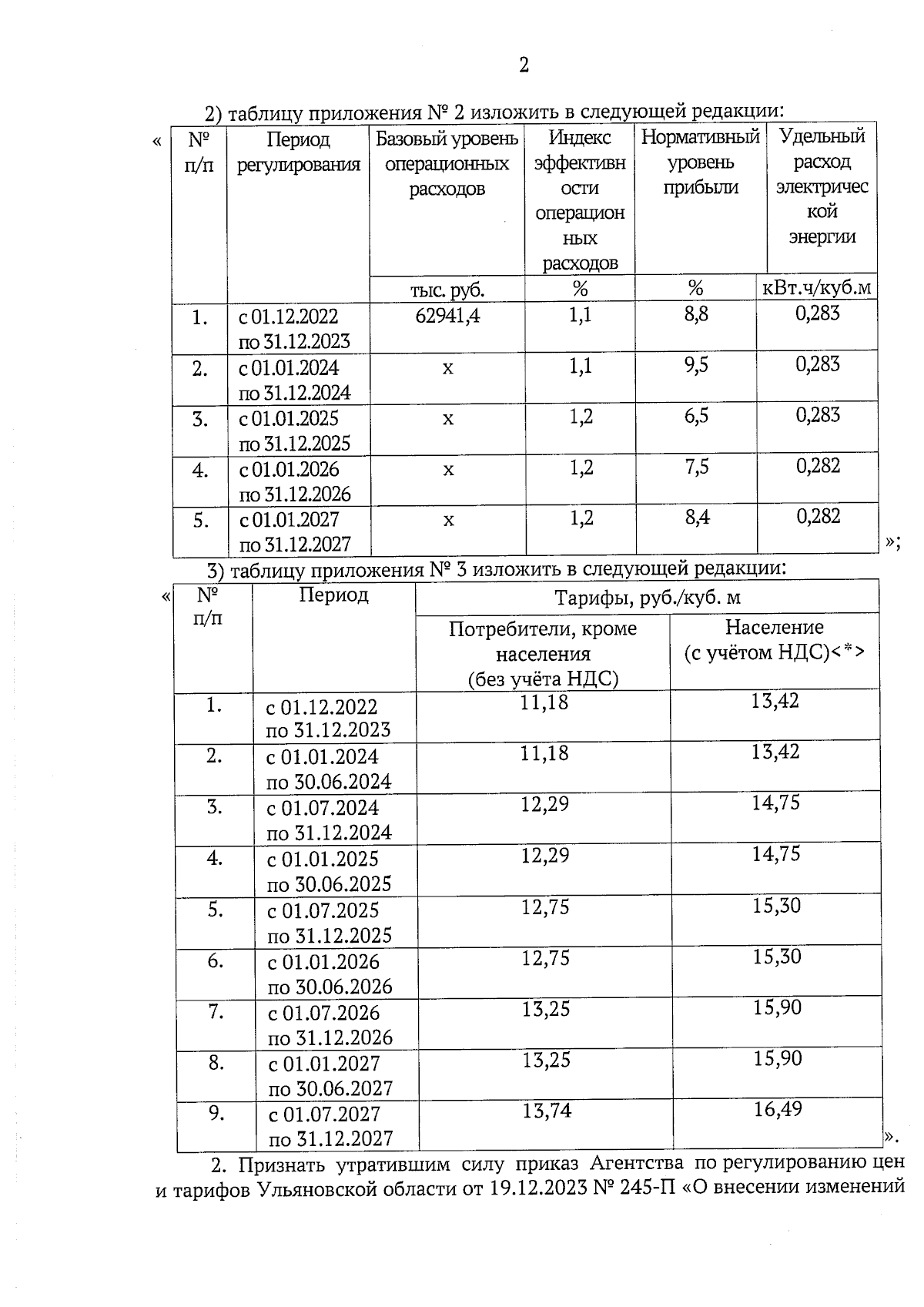
Приказ Агентства по регулированию цен и тарифов Ульяновской области от 09.07.2024 № 58-П
"О внесении изменений в приказ Агентства по регулированию цен и тарифов Ульяновской области от 25.11.2022 № 286-П"
(Зарегистрирован 09.07.2024 № ГР-17/58)
Номер опубликования: 7301202407120002
Дата опубликования: 12.07.2024
Страница №2 из 3:
Увеличить