Официальное опубликование правовых актов
ОФИЦИАЛЬНОЕ ОПУБЛИКОВАНИЕ
Приказ Министерства жилищно-коммунального хозяйства и строительства Ульяновской области от 30.05.2024 № 24-П
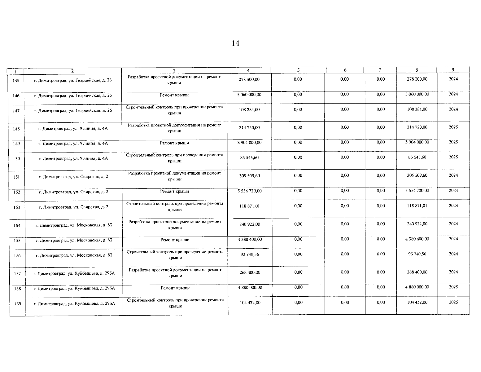
"Об утверждении краткосрочного плана реализации в 2024-2026 годах региональной программы капитального ремонта общего имущества в многоквартирных домах, расположенных на территории Ульяновской области"
(Зарегистрирован 30.05.2024 № ГР-07/24)
Номер опубликования: 7301202406070015
Дата опубликования: 07.06.2024
Страница №15 из 95:
Увеличить