Официальное опубликование правовых актов
ОФИЦИАЛЬНОЕ ОПУБЛИКОВАНИЕ
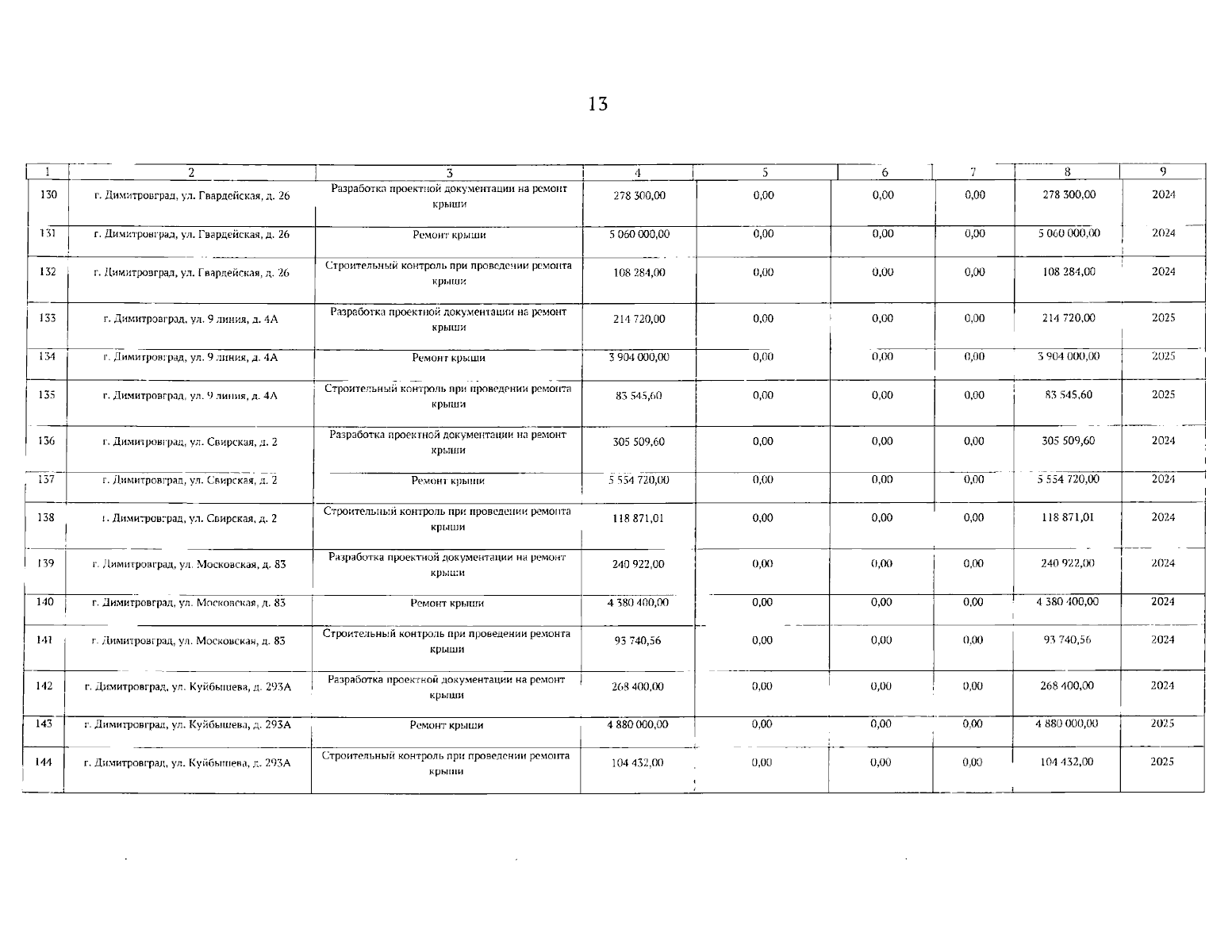
Приказ Министерства жилищно-коммунального хозяйства и строительства Ульяновской области от 23.04.2024 № 21-П
"Об утверждении краткосрочного плана реализации в 2024-2026 годах региональной программы капитального ремонта общего имущества в многоквартирных домах, расположенных на территории Ульяновской области"
(Зарегистрирован 23.04.2024 № ГР-07/21)
Номер опубликования: 7301202404240009
Дата опубликования: 24.04.2024
Страница №14 из 95:
Увеличить