Официальное опубликование правовых актов
ОФИЦИАЛЬНОЕ ОПУБЛИКОВАНИЕ
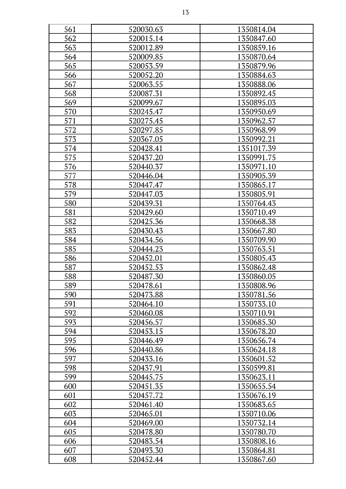
Приказ Министерства имущественных отношений и архитектуры Ульяновской области от 26.12.2023 № 328-пр
"О внесении изменений в приказ Агентства государственного имущества и земельных отношений Ульяновской области от 18.10.2018 № 100-ПОД"
Номер опубликования: 7301202312280039
Дата опубликования: 28.12.2023
Страница №14 из 15:
Увеличить