Официальное опубликование правовых актов
ОФИЦИАЛЬНОЕ ОПУБЛИКОВАНИЕ
Приказ Агентства по регулированию цен и тарифов Ульяновской области от 19.12.2023 № 275-П
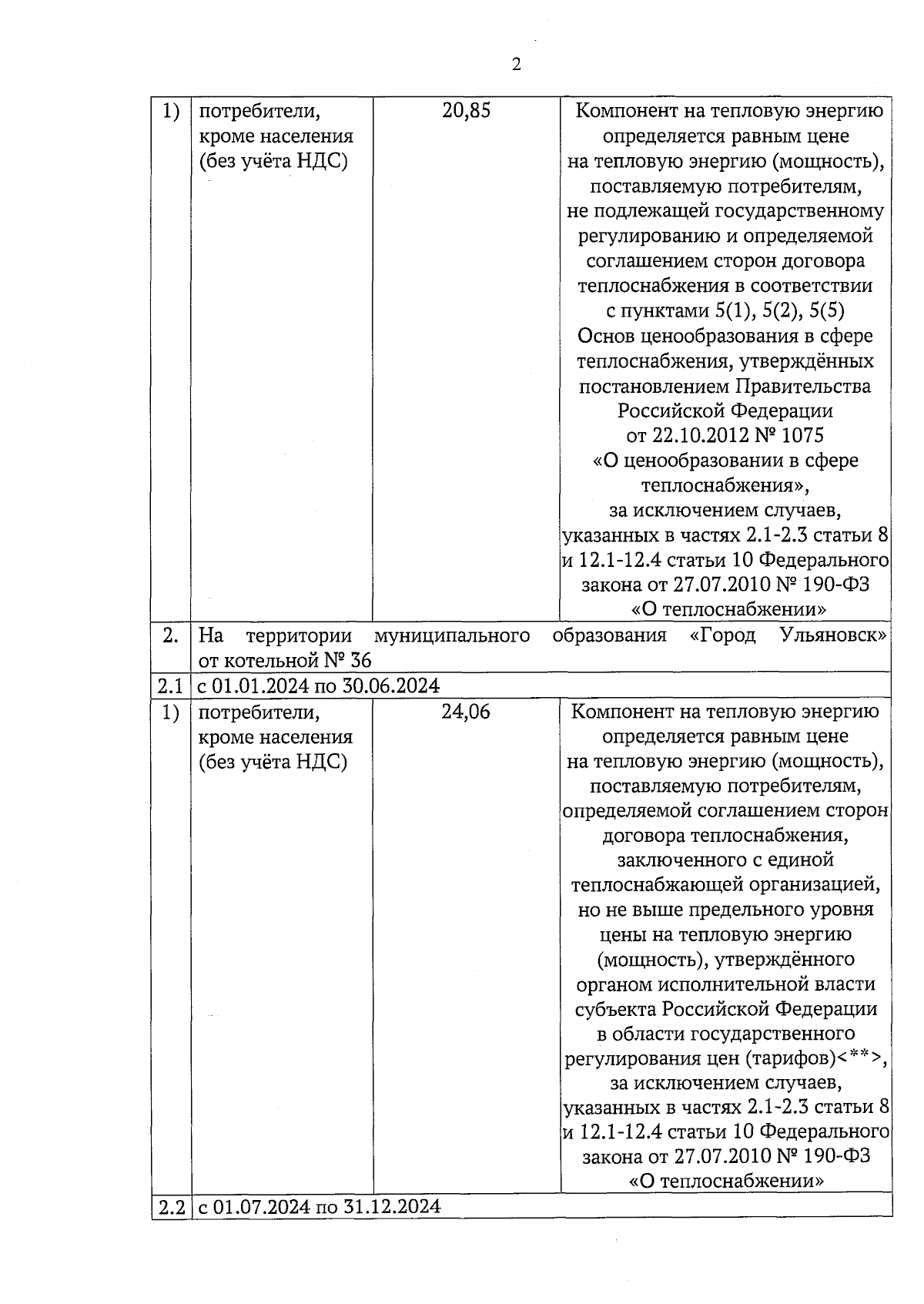
"Об установлении тарифов на горячую воду (горячее водоснабжение) для Общества с ограниченной ответственностью "Инвестиционная сервисная компания" на 2024 год"
(Зарегистрирован 19.12.2023 № ГР-17/275)
Номер опубликования: 7301202312280033
Дата опубликования: 28.12.2023
Страница №3 из 4:
Увеличить