Официальное опубликование правовых актов
ОФИЦИАЛЬНОЕ ОПУБЛИКОВАНИЕ
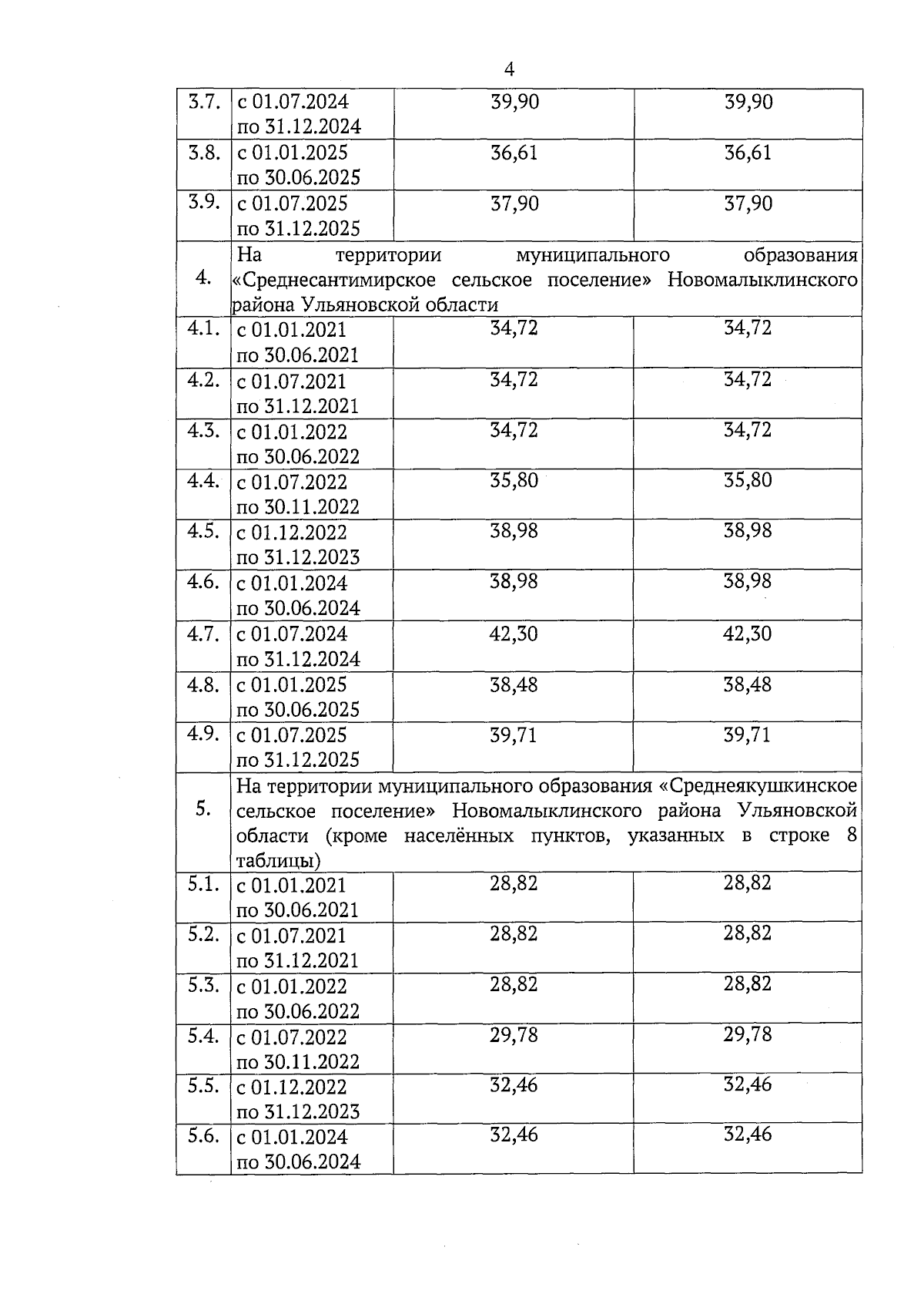
Приказ Агентства по регулированию цен и тарифов Ульяновской области от 19.12.2023 № 300-П
"О внесении изменений в приказ Агентства по регулированию цен и тарифов Ульяновской области от 10.12.2020 № 163-П"
(Зарегистрирован 19.12.2023 № ГР-17/300)
Номер опубликования: 7301202312280005
Дата опубликования: 28.12.2023
Страница №4 из 6:
Увеличить