Официальное опубликование правовых актов
ОФИЦИАЛЬНОЕ ОПУБЛИКОВАНИЕ
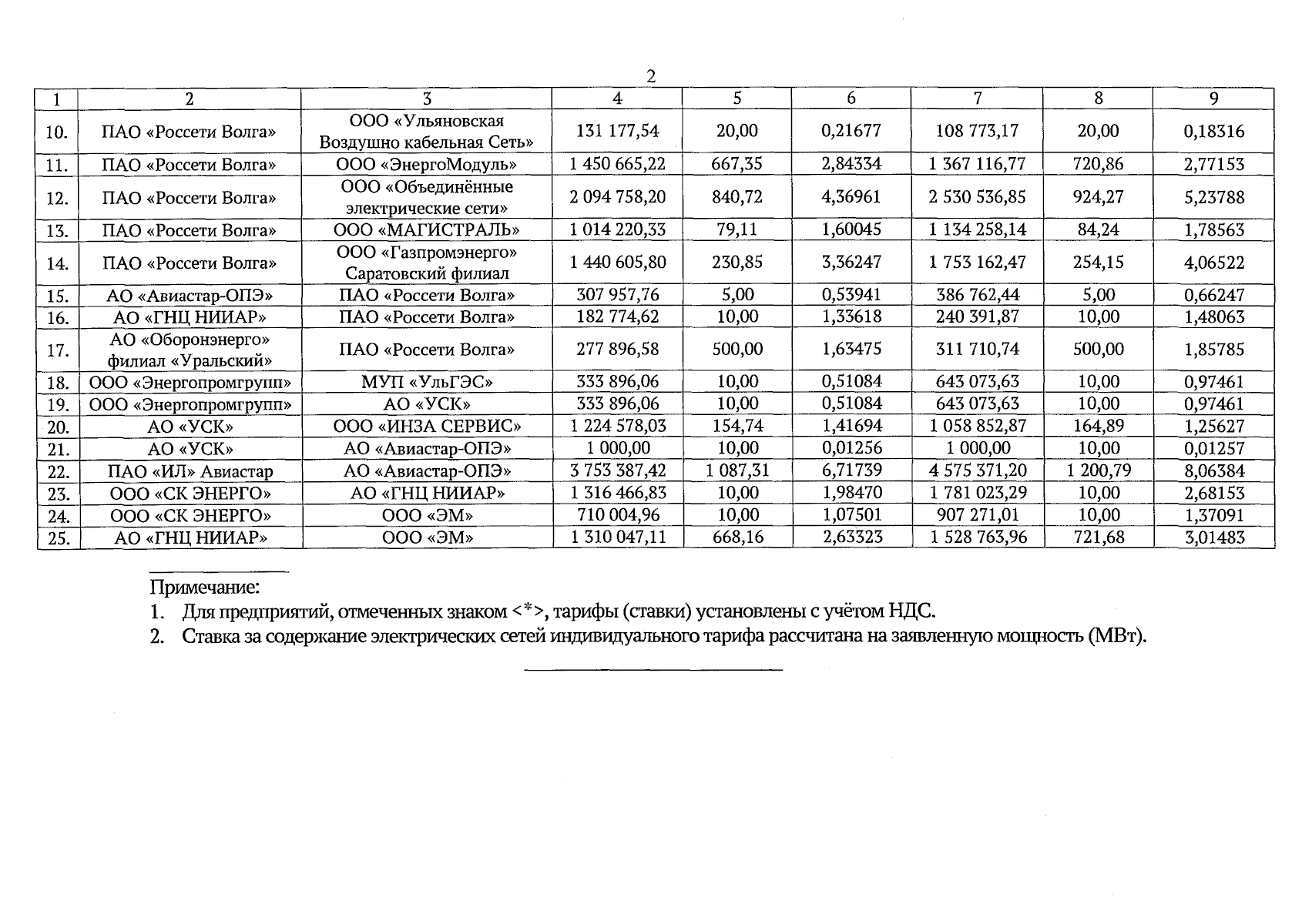
Приказ Агентства по регулированию цен и тарифов Ульяновской области от 20.12.2023 № 321-П
"Об установлении индивидуальных тарифов на услуги по передаче электрической энергии для взаиморасчётов между сетевыми организациями на территории Ульяновской области на 2024 год"
(Зарегистрирован 20.12.2023 № ГР-17/321)
Номер опубликования: 7301202312260007
Дата опубликования: 26.12.2023
Страница №3 из 3:
Увеличить