Официальное опубликование правовых актов
ОФИЦИАЛЬНОЕ ОПУБЛИКОВАНИЕ
Приказ Агентства по регулированию цен и тарифов Ульяновской области от 07.12.2023 № 120-П
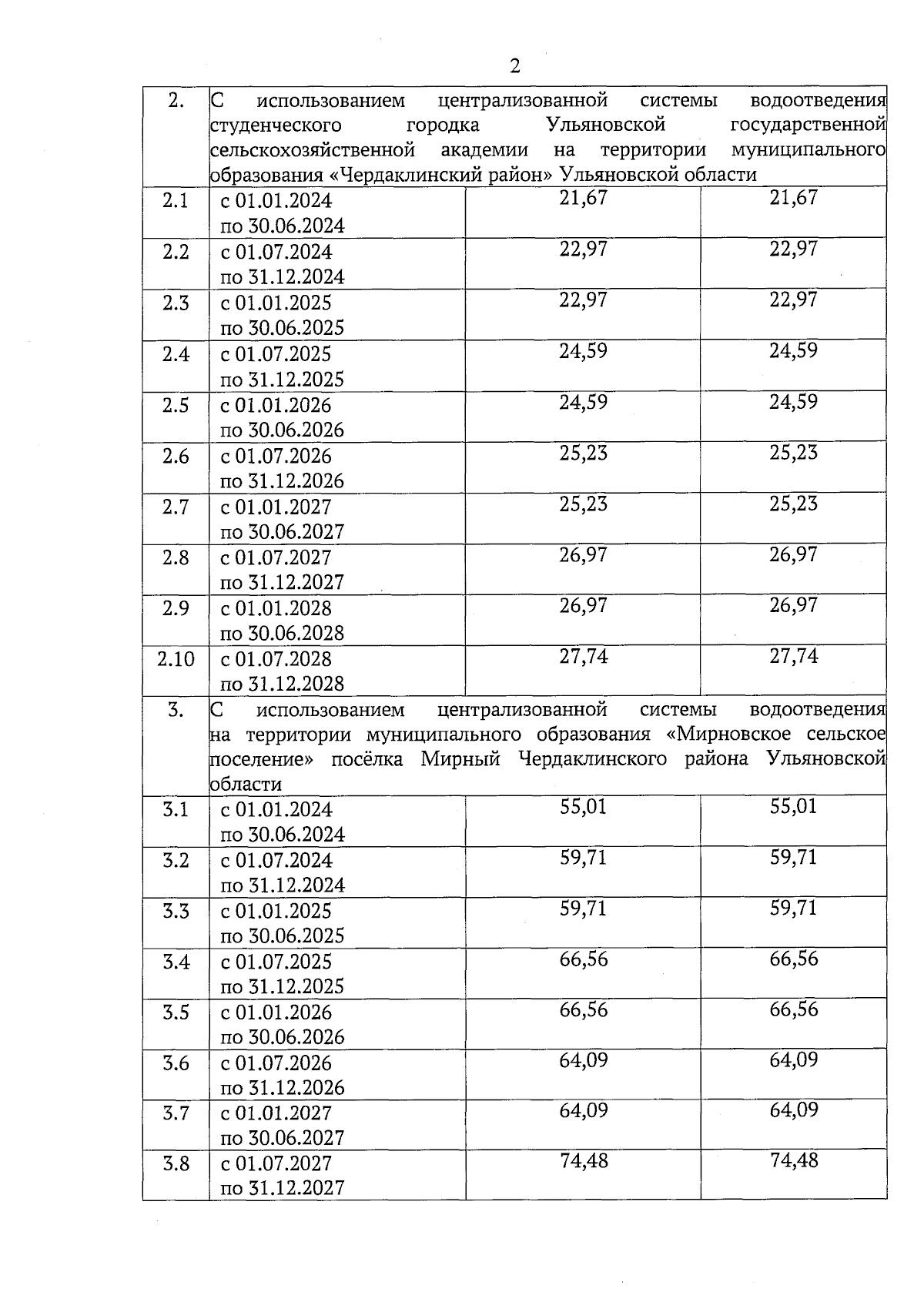
"Об утверждении производственной программы в сфере водоотведения и об установлении тарифов на водоотведение для Муниципального унитарного предприятия жилищно-коммунальное хозяйство муниципального образования "Октябрьское городское поселение" Чердаклинского района Ульяновской области на 2024-2028 годы"
(Зарегистрирован 07.12.2023 № ГР-17/120)
Номер опубликования: 7301202312110024
Дата опубликования: 11.12.2023
Страница №10 из 11:
Увеличить