Официальное опубликование правовых актов
ОФИЦИАЛЬНОЕ ОПУБЛИКОВАНИЕ
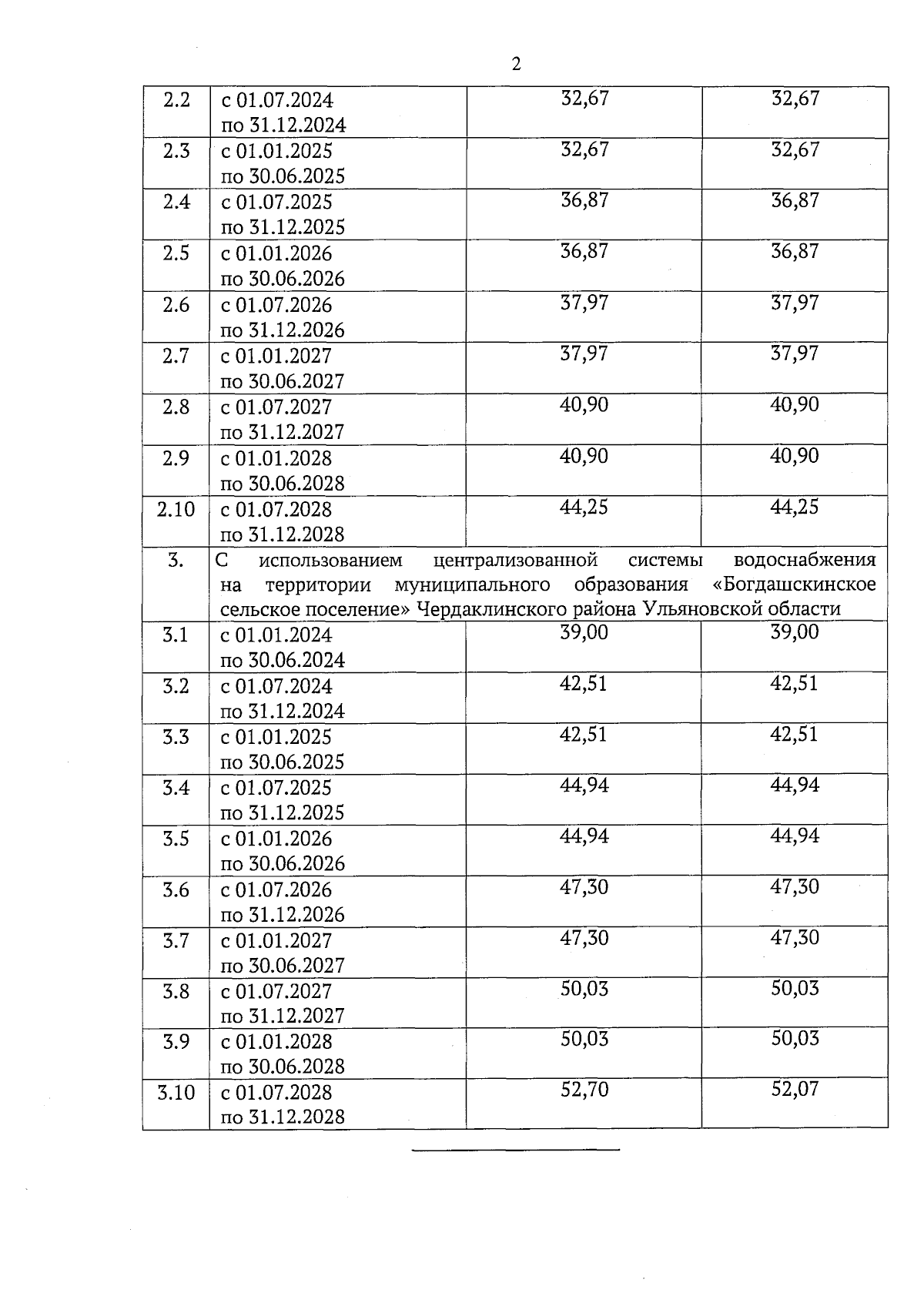
Приказ Агентства по регулированию цен и тарифов Ульяновской области от 07.12.2023 № 119-П
"Об утверждении производственной программы в сфере холодного водоснабжения и об установлении тарифов на питьевую воду (питьевое водоснабжение) для Муниципального казённого предприятия "Чердаклыводоканал" Муниципального образования "Чердаклинский район" Ульяновской области на 2024-2028 годы"
(Зарегистрирован 07.12.2023 № ГР-17/119)
Номер опубликования: 7301202312110022
Дата опубликования: 11.12.2023
Страница №11 из 11:
Увеличить