Официальное опубликование правовых актов
ОФИЦИАЛЬНОЕ ОПУБЛИКОВАНИЕ
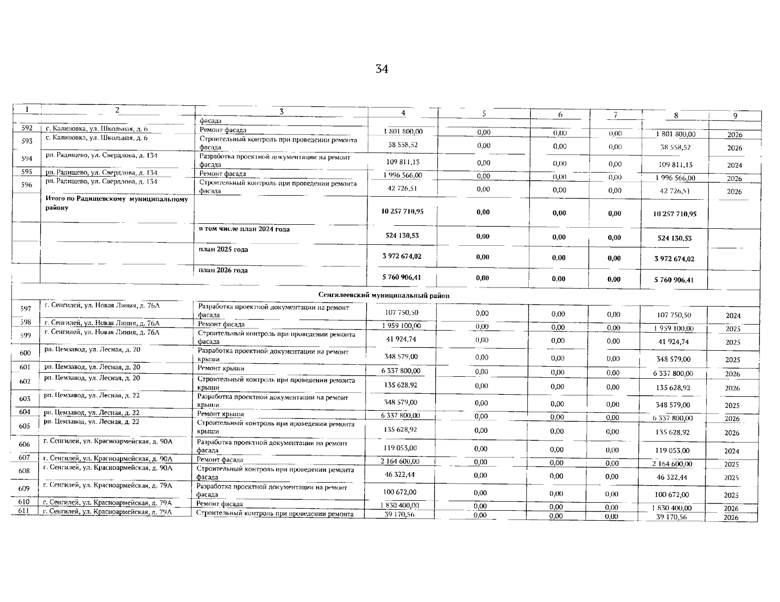
Приказ Министерства жилищно-коммунального хозяйства и строительства Ульяновской области от 23.11.2023 № 88-од
"Об утверждении на 2024-2026 годы краткосрочного плана реализации региональной программы капитального ремонта общего имущества в многоквартирных домах, расположенных на территории Ульяновской области"
(Зарегистрирован 23.11.2023 № ГР-07/88)
Номер опубликования: 7301202311240001
Дата опубликования: 24.11.2023
Страница №35 из 40:
Увеличить