Официальное опубликование правовых актов
ОФИЦИАЛЬНОЕ ОПУБЛИКОВАНИЕ
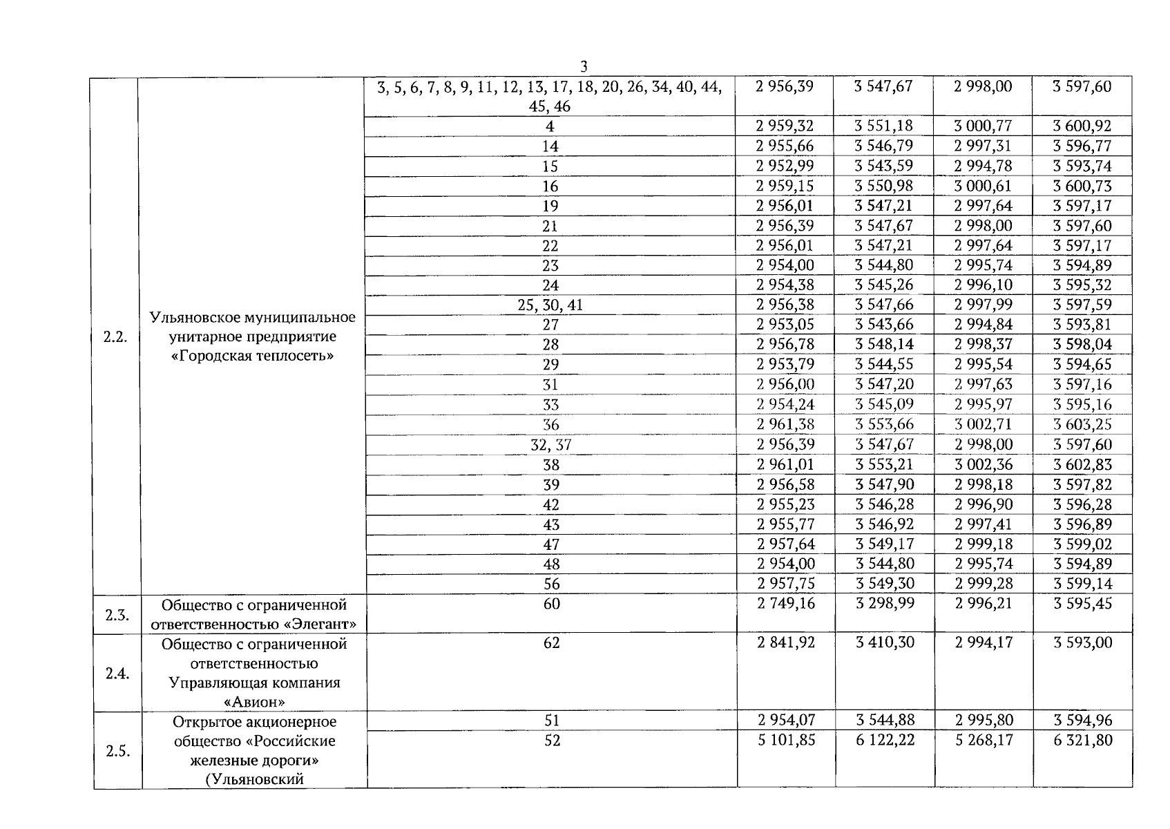
Приказ Агентства по регулированию цен и тарифов Ульяновской области от 14.11.2023 № 94-П
"Об утверждении предельного уровня цены на тепловую энергию (мощность) в ценовой зоне теплоснабжения - муниципальном образовании "город Ульяновск" Ульяновской области на 2024 год"
(Зарегистрирован 14.11.2023 № ГР-17/94)
Номер опубликования: 7301202311160009
Дата опубликования: 16.11.2023
Страница №5 из 7:
Увеличить