Официальное опубликование правовых актов
ОФИЦИАЛЬНОЕ ОПУБЛИКОВАНИЕ
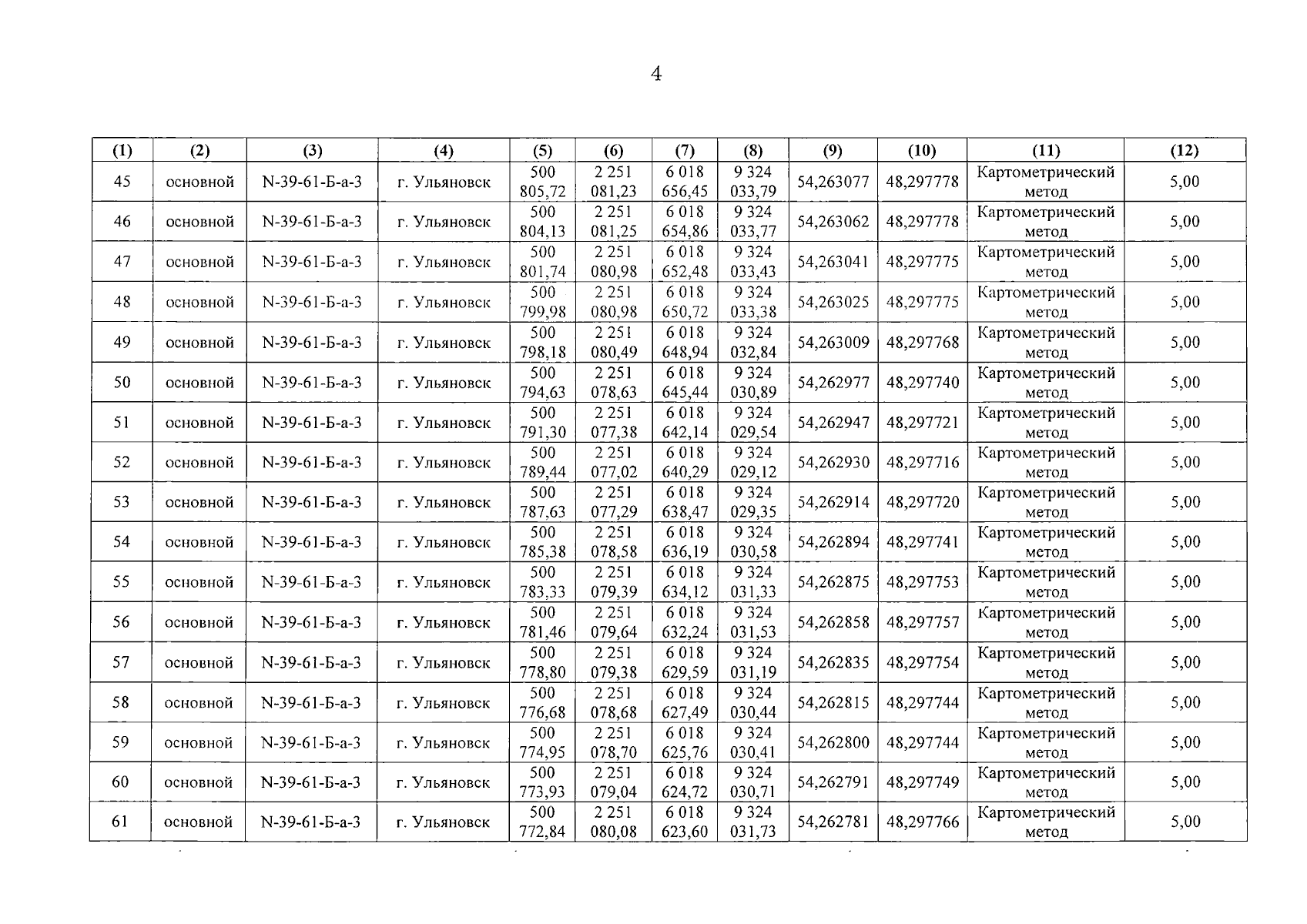
Приказ Министерства природных ресурсов и экологии Ульяновской области от 08.09.2023 № 29
"Об установлении местоположений береговых линий (границы водного объекта) озера без названия в г. Ульяновске Ульяновской области"
Номер опубликования: 7301202309130011
Дата опубликования: 13.09.2023
Страница №5 из 10:
Увеличить