Официальное опубликование правовых актов
ОФИЦИАЛЬНОЕ ОПУБЛИКОВАНИЕ
Приказ Министерства имущественных отношений и архитектуры Ульяновской области от 23.08.2023 № 87-пр
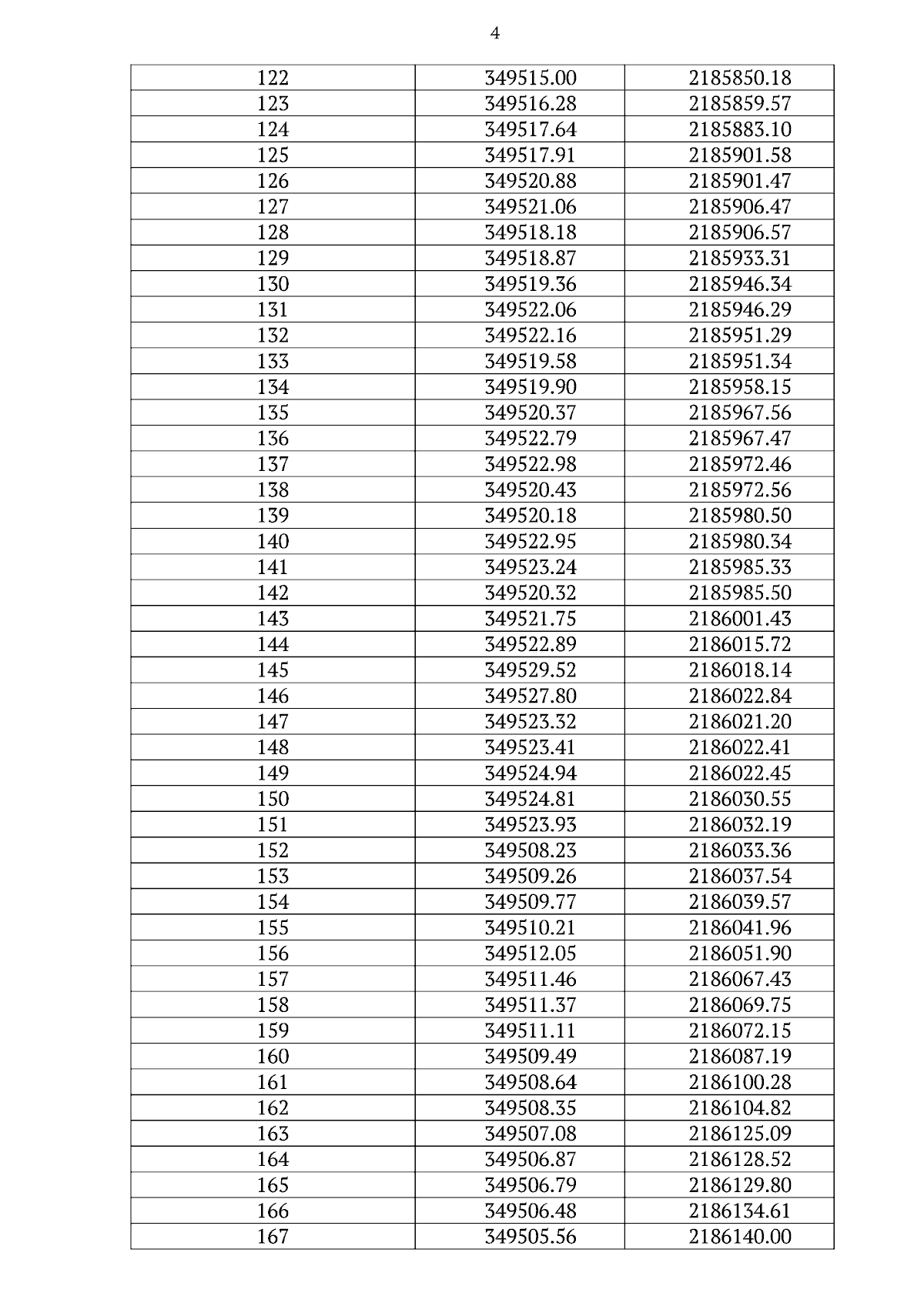
"Об утверждении границы охранной зоны внутрипоселкового газопровода среднего и низкого давления с. Верхняя Терешка Старокулаткинского района Ульяновской области, протяженностью 14919 м, местоположение: Ульяновская область, Старокулаткинский р-н, с. Верхняя Терешка и наложении ограничений (обременений на входящие в неё земельные участки"
Номер опубликования: 7301202308250021
Дата опубликования: 25.08.2023
Страница №6 из 52:
Увеличить