Официальное опубликование правовых актов
ОФИЦИАЛЬНОЕ ОПУБЛИКОВАНИЕ
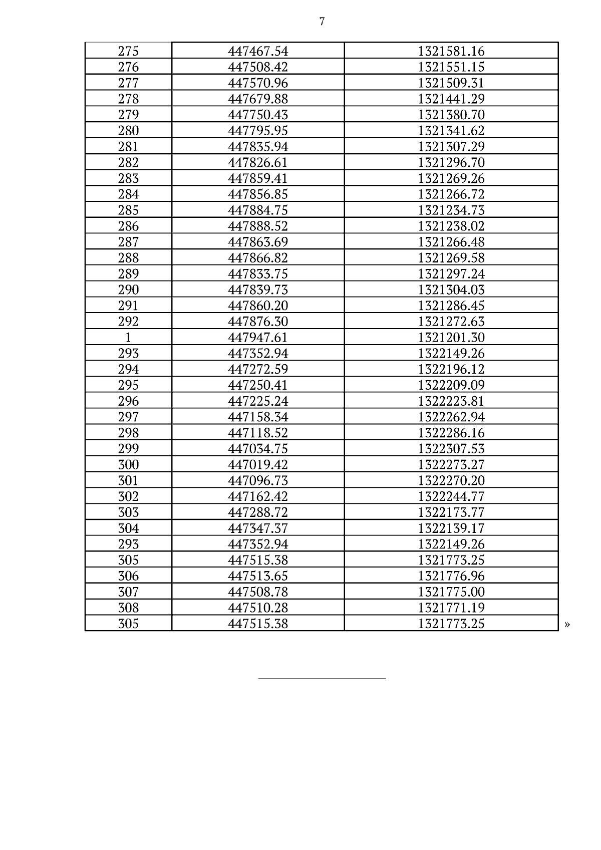
Приказ Министерства имущественных отношений и архитектуры Ульяновской области от 23.08.2023 № 92-пр
"О внесении изменений в приказ Департамента государственного имущества и земельных отношений Ульяновской области от 08.12.2015 № 129-ПОД"
Номер опубликования: 7301202308250016
Дата опубликования: 25.08.2023
Страница №9 из 9:
Увеличить