Официальное опубликование правовых актов
ОФИЦИАЛЬНОЕ ОПУБЛИКОВАНИЕ
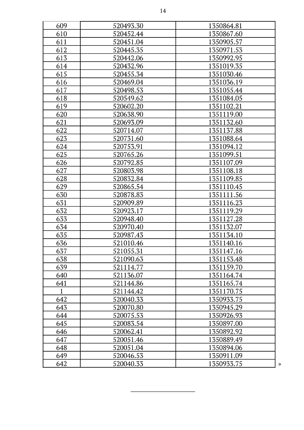
Приказ Министерства имущественных отношений и архитектуры Ульяновской области от 23.08.2023 № 100-пр
"О внесении изменений в приказ Агентства государственного имущества и земельных отношений Ульяновской области от 18.10.2018 № 100-ПОД"
Номер опубликования: 7301202308250015
Дата опубликования: 25.08.2023
Страница №15 из 15:
Увеличить