Официальное опубликование правовых актов
ОФИЦИАЛЬНОЕ ОПУБЛИКОВАНИЕ
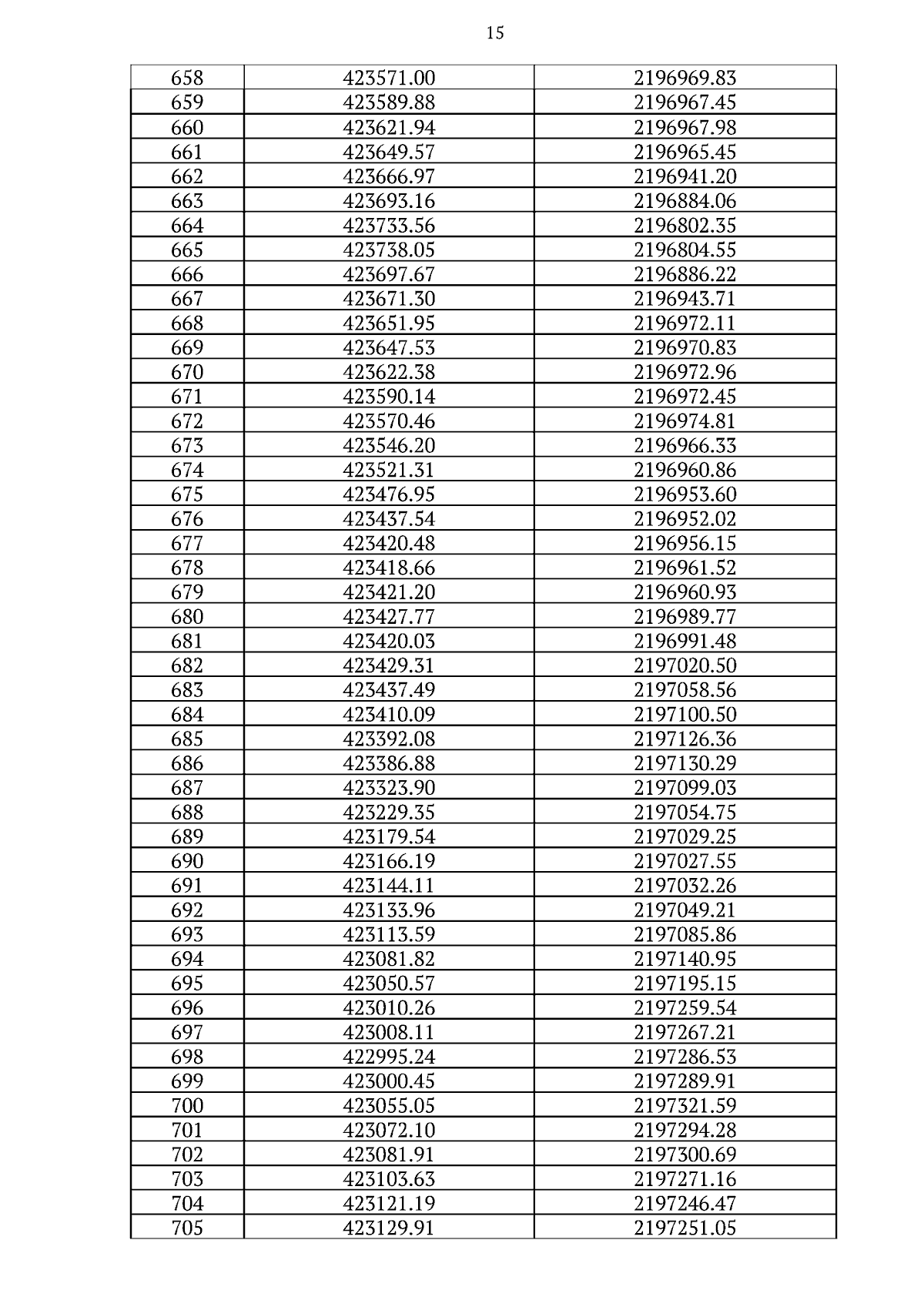
Приказ Министерства имущественных отношений и архитектуры Ульяновской области от 23.08.2023 № 98-пр
"О внесении изменений в приказ Департамента государственного имущества и земельных отношений Ульяновской области от 24.07.2014 № 56-ПОД"
Номер опубликования: 7301202308250012
Дата опубликования: 25.08.2023
Страница №16 из 17:
Увеличить