Официальное опубликование правовых актов
ОФИЦИАЛЬНОЕ ОПУБЛИКОВАНИЕ
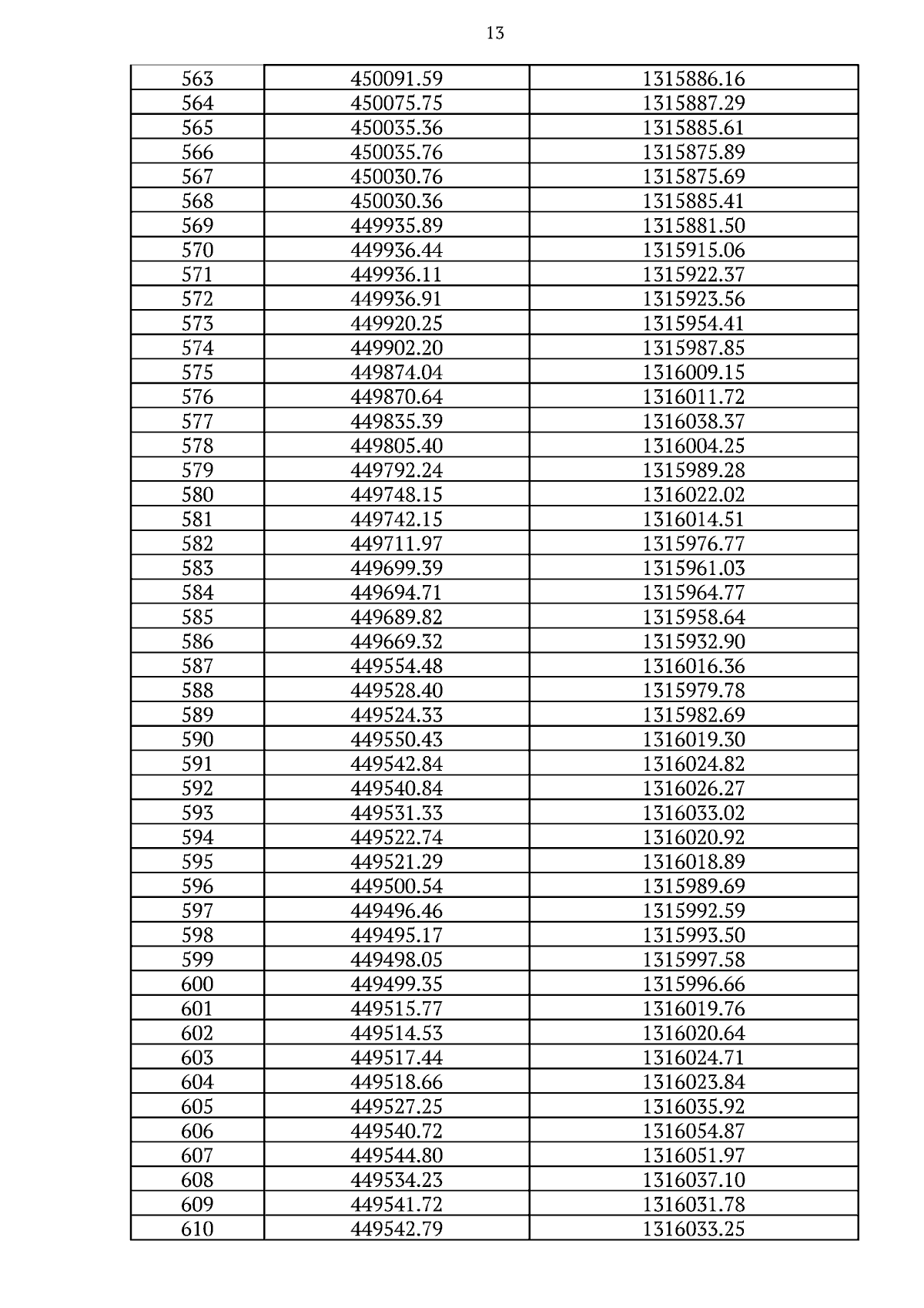
Приказ Министерства имущественных отношений и архитектуры Ульяновской области от 23.08.2023 № 97-пр
"О внесении изменений в приказ Департамента государственного имущества и земельных отношений Ульяновской области от 07.12.2015 № 126-ПОД"
Номер опубликования: 7301202308250010
Дата опубликования: 25.08.2023
Страница №15 из 22:
Увеличить