Официальное опубликование правовых актов
ОФИЦИАЛЬНОЕ ОПУБЛИКОВАНИЕ
Приказ Министерства имущественных отношений и архитектуры Ульяновской области от 23.08.2023 № 85-пр
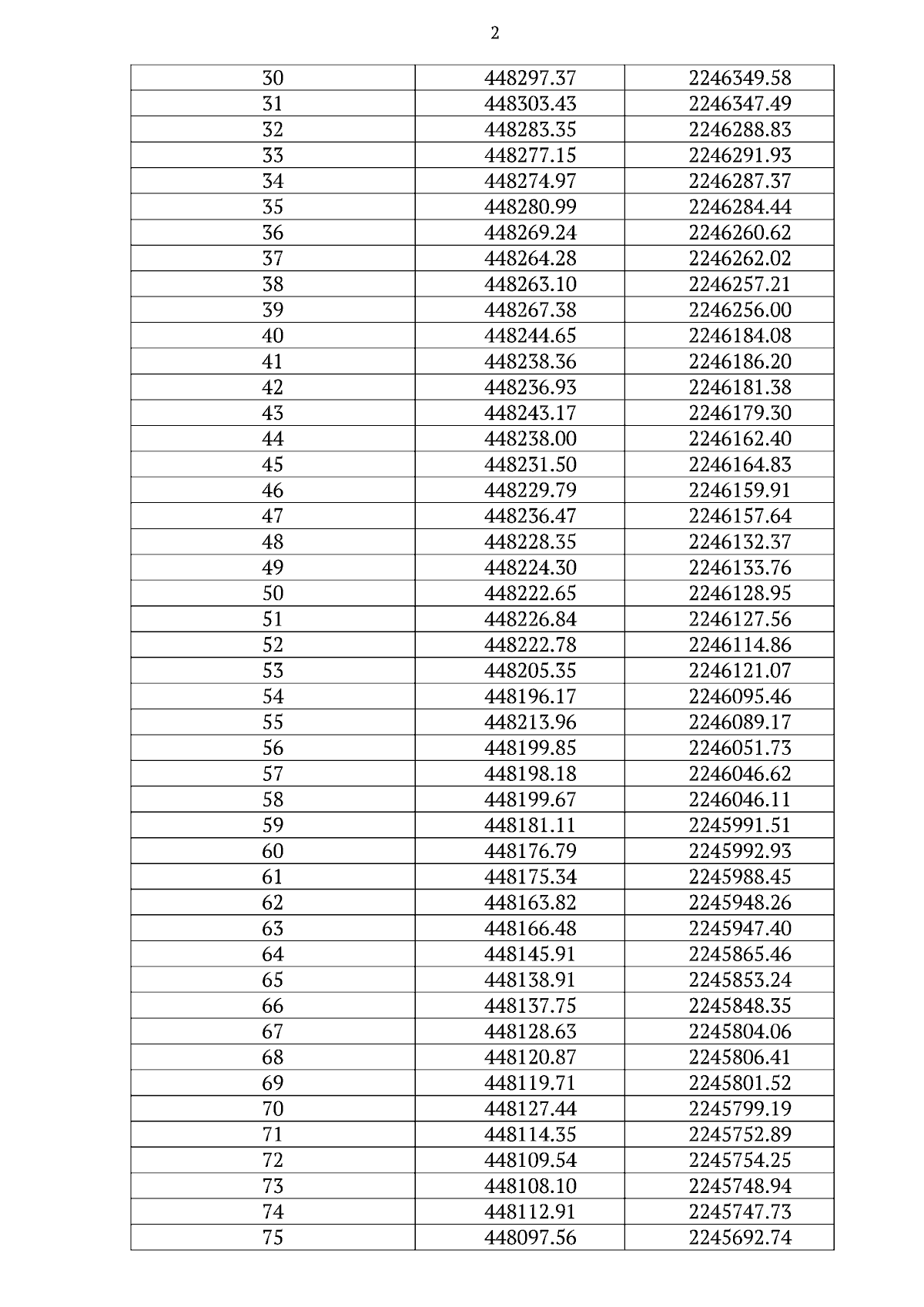
"Об утверждении границы охранной зоны внутрипоселкового газопровода среднего и низкого давления в с. Назайкино Тереньгульского района Ульяновской области, протяженностью 9523 м, местоположение: Ульяновская область, р-н Тереньгульский, с. Назайкино и наложении ограничений (обременений на входящие в неё земельные участки"
Номер опубликования: 7301202308250003
Дата опубликования: 25.08.2023
Страница №4 из 17:
Увеличить