Официальное опубликование правовых актов
ОФИЦИАЛЬНОЕ ОПУБЛИКОВАНИЕ
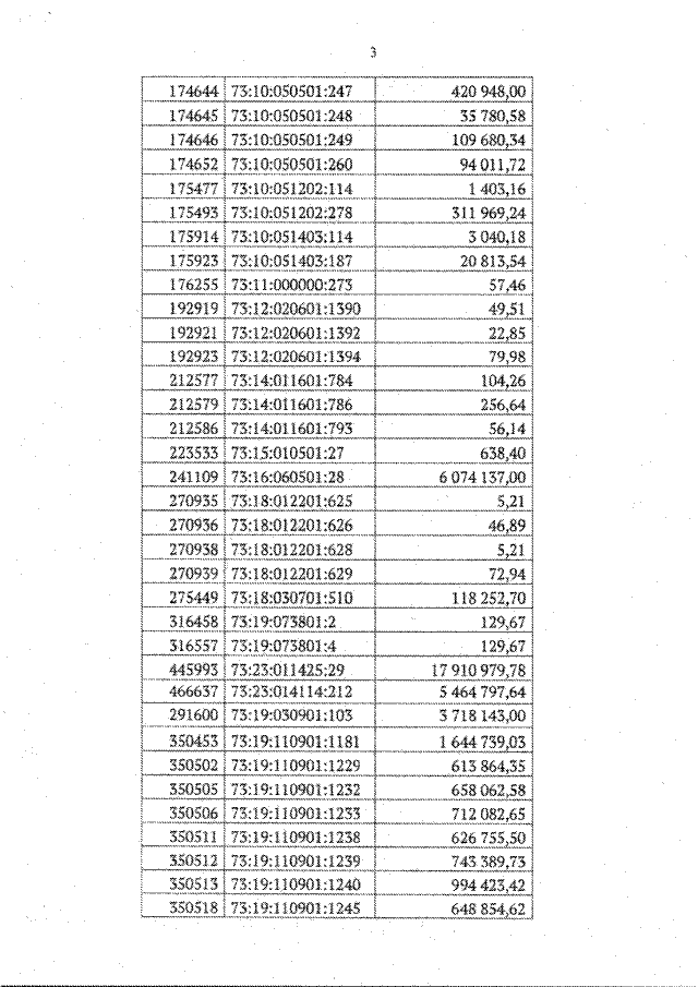
Приказ Министерства имущественных отношений и архитектуры Ульяновской области от 27.01.2023 № 2-пр
"О внесении изменений в приказ Министерства имущественных отношений и архитектуры Ульяновской области от 25.11.2022 № 263-пр"
Номер опубликования: 7301202301300005
Дата опубликования: 30.01.2023
Страница №3 из 5:
Увеличить