Официальное опубликование правовых актов
ОФИЦИАЛЬНОЕ ОПУБЛИКОВАНИЕ
Приказ Агентства по регулированию цен и тарифов Ульяновской области от 27.12.2022 № 357-П
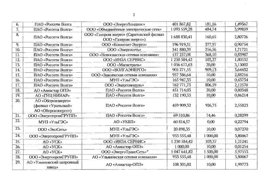
"Об установлении индивидуальных тарифов на услуги по передаче электрической энергии для взаиморасчётов между сетевыми организациями на территории Ульяновской области на 2023 год"
Номер опубликования: 7301202212290003
Дата опубликования: 29.12.2022
Страница №3 из 4:
Увеличить