Официальное опубликование правовых актов
ОФИЦИАЛЬНОЕ ОПУБЛИКОВАНИЕ
Приказ Министерства жилищно-коммунального хозяйства и строительства Ульяновской области от 22.12.2022 № 28-од
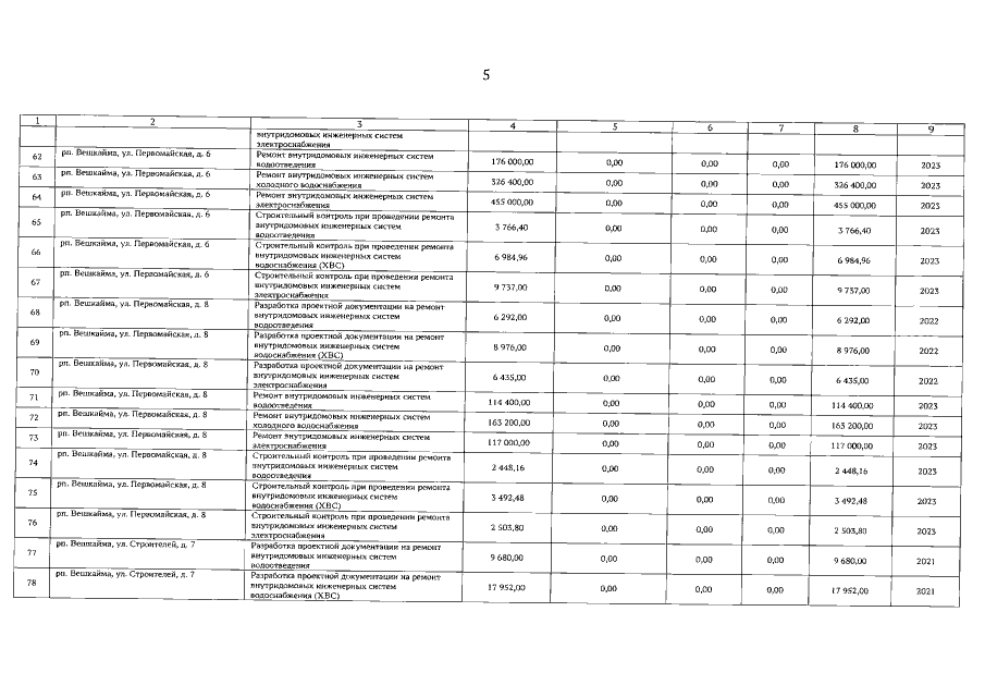
"Об утверждении на 2021-2023 годы краткосрочного плана реализации региональной программы капитального ремонта общего имущества в многоквартирных домах, расположенных на территории Ульяновской области, на 2014-2044 годы"
Номер опубликования: 7301202212270001
Дата опубликования: 27.12.2022
Страница №6 из 86:
Увеличить