Официальное опубликование правовых актов
ОФИЦИАЛЬНОЕ ОПУБЛИКОВАНИЕ
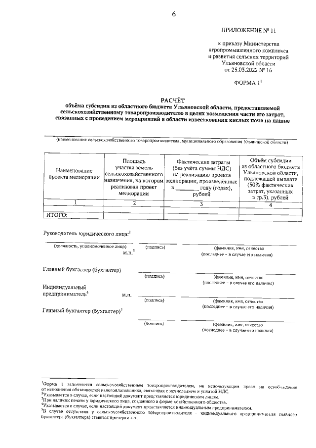
Приказ Министерства агропромышленного комплекса и развития сельских территорий Ульяновской области от 03.08.2022 № 43
"О внесении изменений в приказ Министерства агропромышленного комплекса и развития сельских территорий Ульяновской области от 25.03.2022 № 16"
Номер опубликования: 7301202208040002
Дата опубликования: 04.08.2022
Страница №6 из 15:
Увеличить