Официальное опубликование правовых актов
ОФИЦИАЛЬНОЕ ОПУБЛИКОВАНИЕ
Приказ Министерства жилищно-коммунального хозяйства и строительства Ульяновской области от 22.06.2022 № 13-од
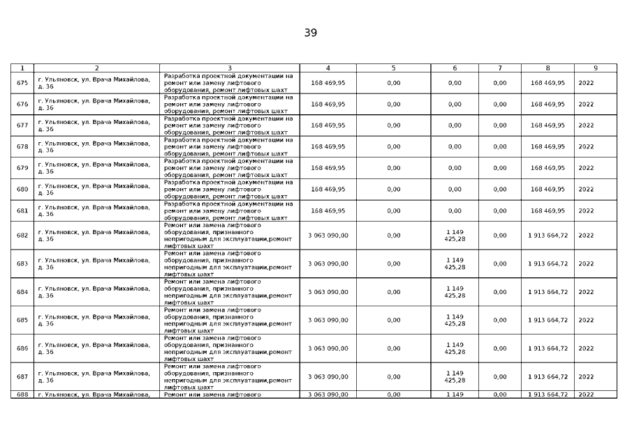
"Об утверждении на 2021-2023 годы краткосрочного плана реализации региональной программы капитального ремонта общего имущества в многоквартирных домах, расположенных на территории Ульяновской области, на 2014-2044 годы"
Номер опубликования: 7301202206230002
Дата опубликования: 23.06.2022
Страница №40 из 92:
Увеличить