Официальное опубликование правовых актов
ОФИЦИАЛЬНОЕ ОПУБЛИКОВАНИЕ
Приказ Министерства строительства и архитектуры Ульяновской области от 30.03.2022 № 173-пр
"О внесении изменений в Приказ Министерства строительства и архитектуры Ульяновской области от 20.10.2020 № 241-пр"
Номер опубликования: 7301202204010001
Дата опубликования: 01.04.2022
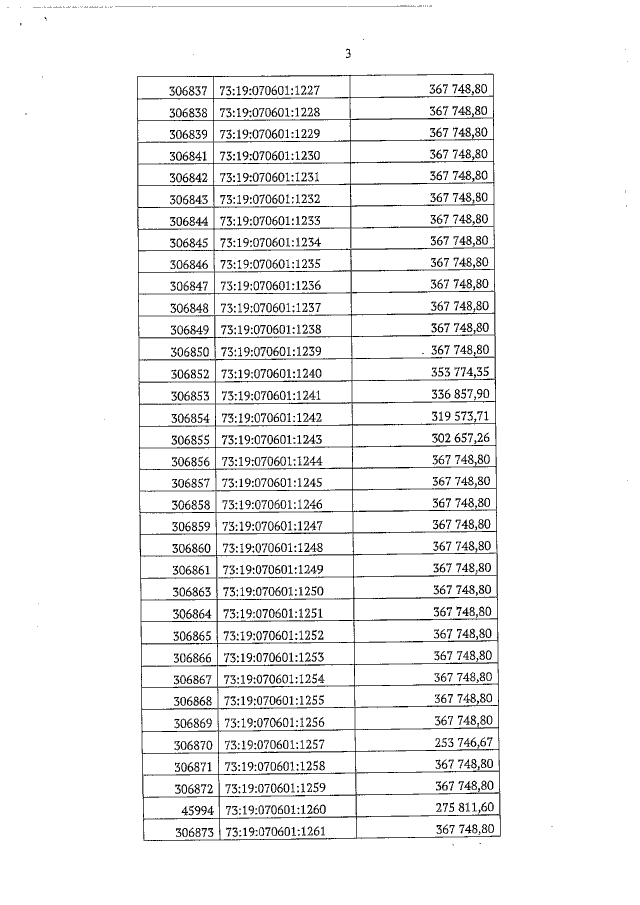
Страница №3 из 4:
Увеличить