Официальное опубликование правовых актов
ОФИЦИАЛЬНОЕ ОПУБЛИКОВАНИЕ
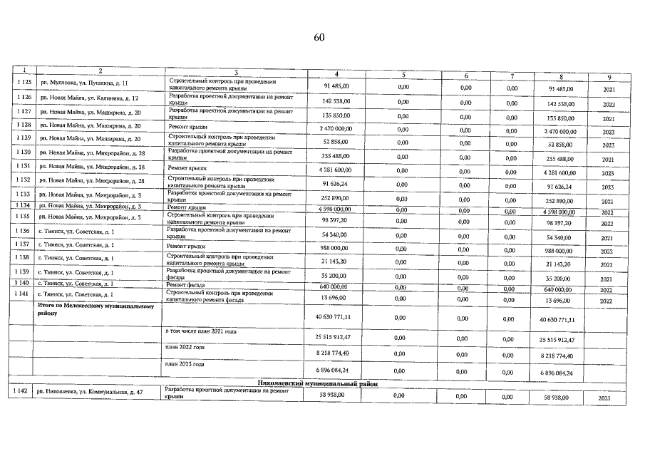
Приказ Министерства энергетики, жилищно-коммунального комплекса и городской среды Ульяновской области от 07.12.2021 № 14-од
"Об утверждении на 2021-2023 годы краткосрочного плана реализации региональной программы капитального ремонта общего имущества в многоквартирных домах, расположенных на территории Ульяновской области, на 2014-2044 годы"
Номер опубликования: 7301202112100001
Дата опубликования: 10.12.2021
Страница №60 из 72:
Увеличить