Официальное опубликование правовых актов
ОФИЦИАЛЬНОЕ ОПУБЛИКОВАНИЕ
Постановление Правительства Ульяновской области от 09.02.2026 № 3/53-П
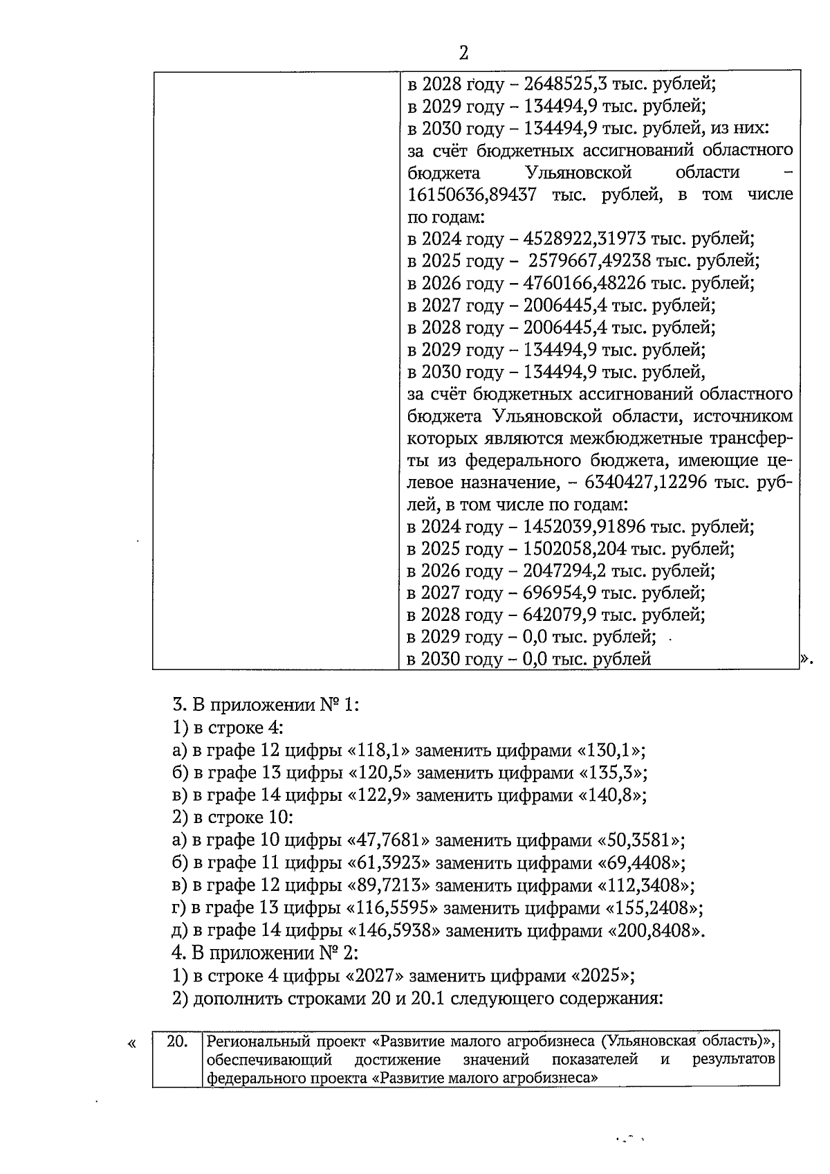
"О внесении изменений в государственную программу Ульяновской области "Развитие агропромышленного комплекса, сельских территорий и регулирование рынков сельскохозяйственной продукции, сырья и продовольствия в Ульяновской области"
Номер опубликования: 7300202602170001
Дата опубликования: 17.02.2026
Страница №3 из 43:
Увеличить