Официальное опубликование правовых актов
ОФИЦИАЛЬНОЕ ОПУБЛИКОВАНИЕ
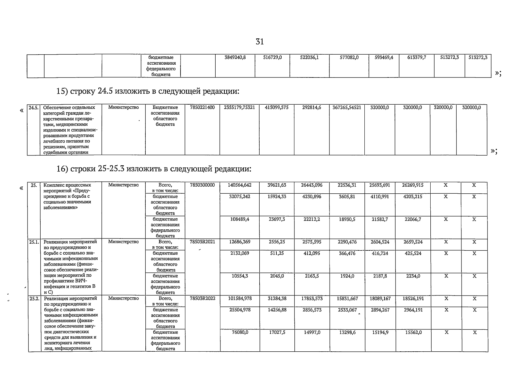
Постановление Правительства Ульяновской области от 09.02.2026 № 3/47-П
"О внесении изменений в государственную программу Ульяновской области "Развитие здравоохранения в Ульяновской области"
Номер опубликования: 7300202602160003
Дата опубликования: 16.02.2026
Страница №32 из 34:
Увеличить